🇳🇴 🇬🇧 🇩🇪 🇨🇿 🇫🇮

Meteor, poloha: Fredrikstad 2024-05-14 21:26:09 UTC

Soubor KML  |  InteraktivnĂ­ mapa

Mapa zobrazuje dráhy meteoru. Světlejší čáry ukazují směry od pozorovacích stanic při objevení se meteoru a tmavší čáry, kde byl naposledy viděn. Modrá šipka značí viditelnou dráhu meteoru.

static map
height profile
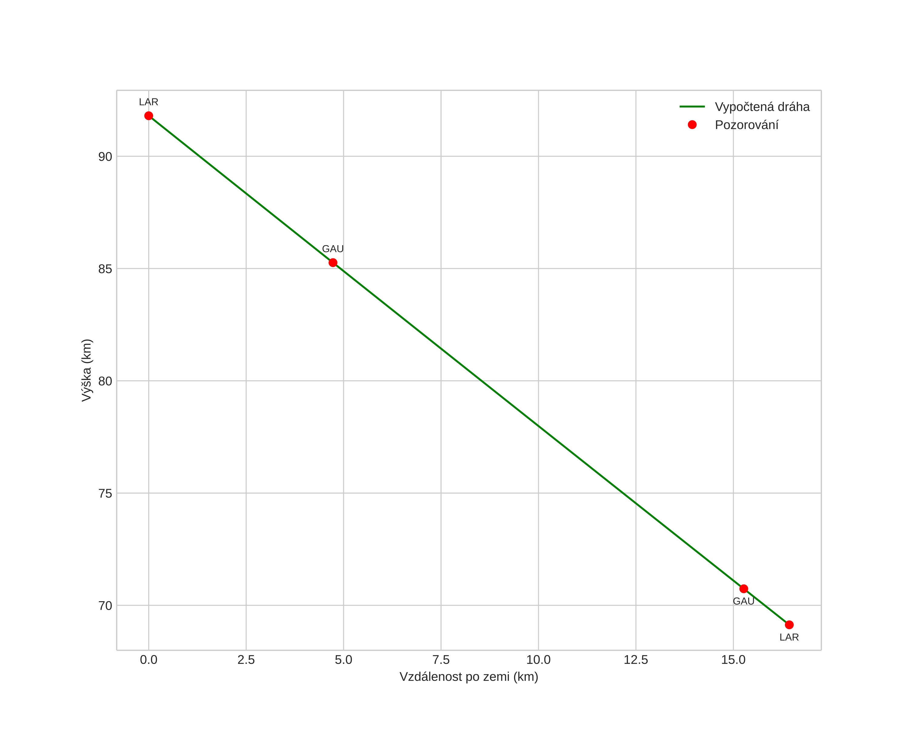
Atmosférická dráha meteoru:
Počáteční výška: 91,8 km
Konečná výška: 69,1 km
Počáteční poloha: 59,142N 10,642E
Konečná poloha: 59,229N 10,876E
Směr: 54,2°
Sklon: 54,1°
VstupnĂ­ rychlost: 15,7 km/s
Rektascenze radiantu: 11:07 (166,9°)
Deklinace radiantu: 25,5°
MeteorickĂ˝ roj: sporadickĂ˝
Elementy dráhy meteoroidu:
Vzdálenost v periheliu: 1,008 AU
Excentricita: 0,834
Sklon dráhy: 5,1°
Délka vzestupného uzlu: 54,3°
Argument perihelia: 186,7°
Střední anomálie: 359,7°
Epocha: 2024 MAY 14 21:26:09
orbit plot

NeinteraktivnĂ­ graf | InteraktivnĂ­ graf

position vs time
speed and acceleration

Gaustatoppen (GAU) cam4


gnomonic
Videa
• Gnomonická
• Gnomonická se souřadnicemi
• Původní
• Původní se souřadnicemi
Obrázky
• Gnomonická
• Gnomonická se souřadnicemi
• Gnomonická s popisky
• Původní
• Původní se souřadnicemi
Textové soubory
• Detekce
• Pozorování
• Souřadnice
• Chybová hlášení
• Protokol
Jasnost