🇳🇴 🇬🇧 🇩🇪 🇨🇿 🇫🇮

Meteor, poloha: ElnesvĂĄgen 2024-05-17 23:16:00 UTC

Soubor KML  |  InteraktivnĂ­ mapa

Mapa zobrazuje dráhy meteoru. Světlejší čáry ukazují směry od pozorovacích stanic při objevení se meteoru a tmavší čáry, kde byl naposledy viděn. Modrá šipka značí viditelnou dráhu meteoru.

static map
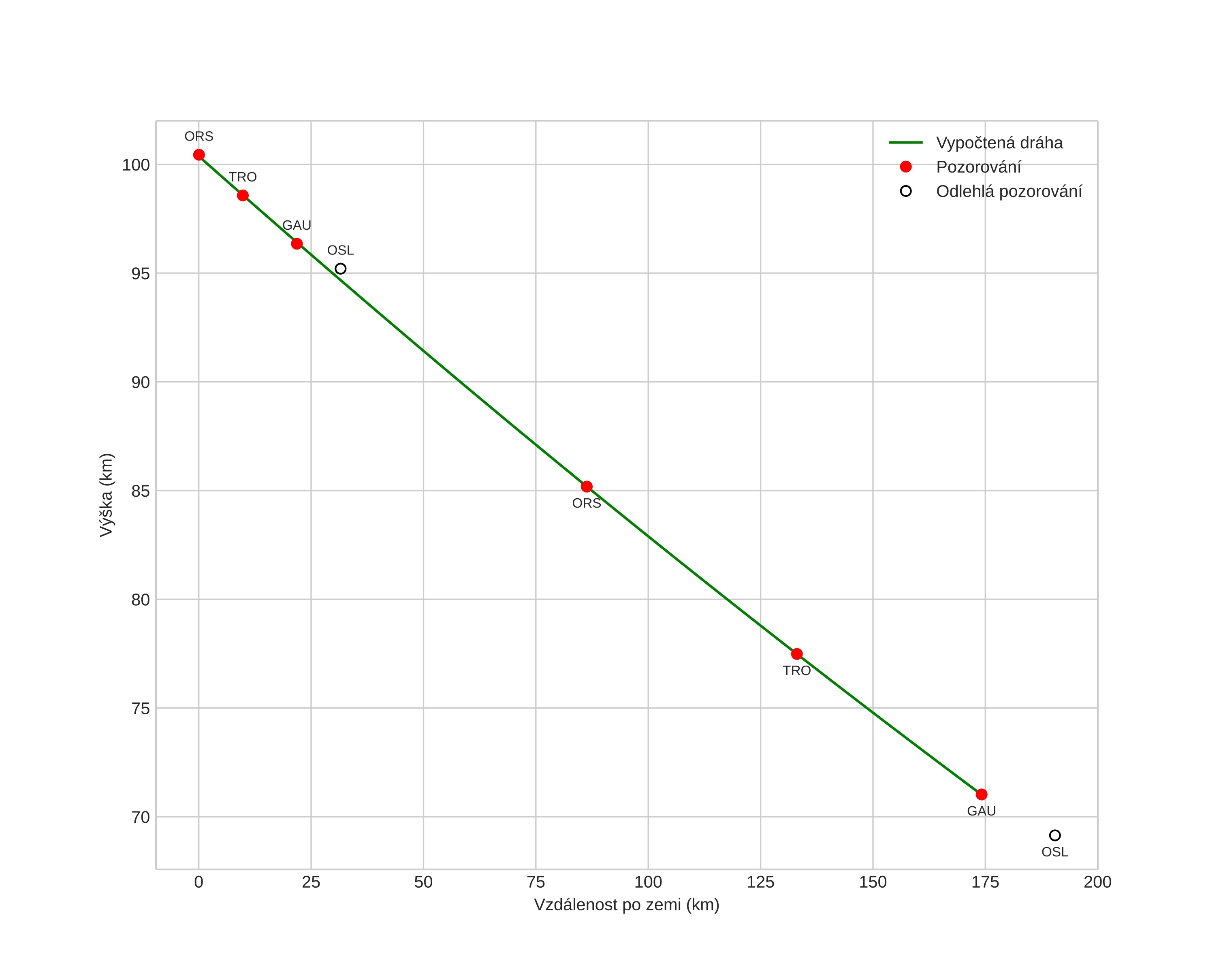
height profile
Atmosférická dráha meteoru:
Počáteční výška: 100,4 km
Konečná výška: 71,0 km
Počáteční poloha: 62,545N 8,582E
Konečná poloha: 63,919N 6,914E
Směr: 332,1°
Sklon: 9,6°
VstupnĂ­ rychlost: 40,8 km/s
Rektascenze radiantu: 17:27 (262,0°)
Deklinace radiantu: -16,6°
MeteorickĂ˝ roj: sporadickĂ˝
Elementy dráhy meteoroidu:
Vzdálenost v periheliu: 0,111 AU
Excentricita: 0,956
Sklon dráhy: 19,3°
Délka vzestupného uzlu: 57,2°
Argument perihelia: 325,1°
Střední anomálie: 351,6°
Epocha: 2024 MAY 17 23:16:00
orbit plot

NeinteraktivnĂ­ graf | InteraktivnĂ­ graf

position vs time
speed and acceleration

Gaustatoppen (GAU) cam2


gnomonic
Videa
• Gnomonická
• Gnomonická se souřadnicemi
• Původní
• Původní se souřadnicemi
Obrázky
• Gnomonická
• Gnomonická se souřadnicemi
• Gnomonická s popisky
• Původní
• Původní se souřadnicemi
Textové soubory
• Detekce
• Pozorování
• Souřadnice
• Protokol
Jasnost

Voksenlia (OSL) cam2


gnomonic
Videa
• Gnomonická
• Gnomonická se souřadnicemi
• Původní
• Původní se souřadnicemi
Obrázky
• Gnomonická
• Gnomonická se souřadnicemi
• Gnomonická s popisky
• Původní
• Původní se souřadnicemi
• Původní s maskou
Textové soubory
• Detekce
• Pozorování
• Souřadnice
• Protokol
Jasnost