🇳🇴 🇬🇧 🇩🇪 🇨🇿 🇫🇮

Meteor, poloha: Dokka 2024-05-18 23:47:33 UTC

Soubor KML  |  InteraktivnĂ­ mapa

Mapa zobrazuje dráhy meteoru. Světlejší čáry ukazují směry od pozorovacích stanic při objevení se meteoru a tmavší čáry, kde byl naposledy viděn. Modrá šipka značí viditelnou dráhu meteoru.

static map
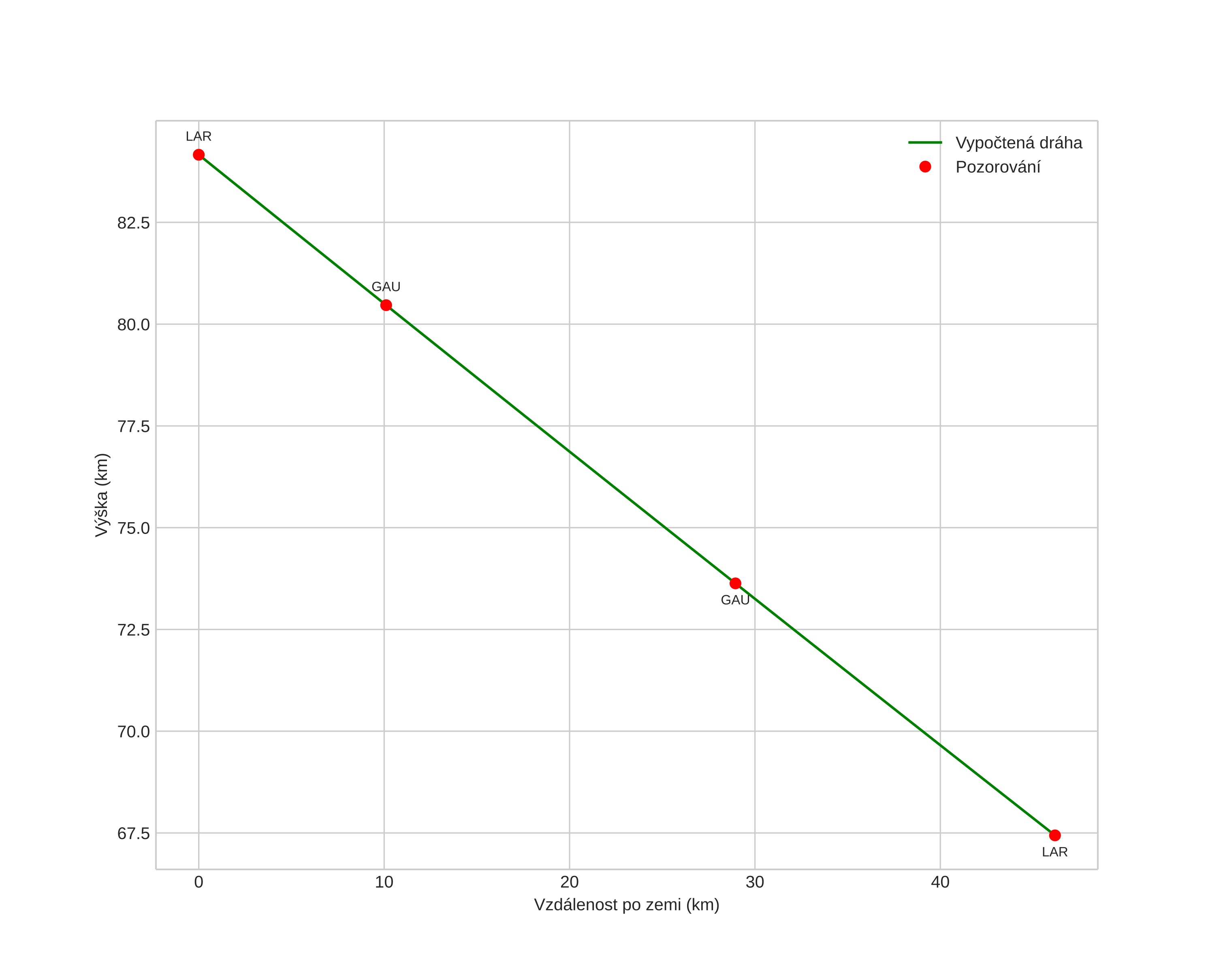
height profile
Atmosférická dráha meteoru:
Počáteční výška: 84,3 km
Konečná výška: 67,7 km
Počáteční poloha: 60,261N 9,917E
Konečná poloha: 60,682N 10,059E
Směr: 9,4°
Sklon: 19,3°
VstupnĂ­ rychlost: 23,3 km/s
Rektascenze radiantu: 15:34 (233,5°)
Deklinace radiantu: -15,2°
MeteorickĂ˝ roj: sporadickĂ˝
Elementy dráhy meteoroidu:
Vzdálenost v periheliu: 0,634 AU
Excentricita: 0,707
Sklon dráhy: 2,6°
Délka vzestupného uzlu: 58,2°
Argument perihelia: 264,2°
Střední anomálie: 345,5°
Epocha: 2024 MAY 18 23:47:33
orbit plot

NeinteraktivnĂ­ graf | InteraktivnĂ­ graf

position vs time
speed and acceleration