🇳🇴 🇬🇧 🇩🇪 🇨🇿 🇫🇮

Meteor, poloha: Tonstad 2024-05-21 21:44:30 UTC

Soubor KML  |  InteraktivnĂ­ mapa

Mapa zobrazuje dráhy meteoru. Světlejší čáry ukazují směry od pozorovacích stanic při objevení se meteoru a tmavší čáry, kde byl naposledy viděn. Modrá šipka značí viditelnou dráhu meteoru.

static map
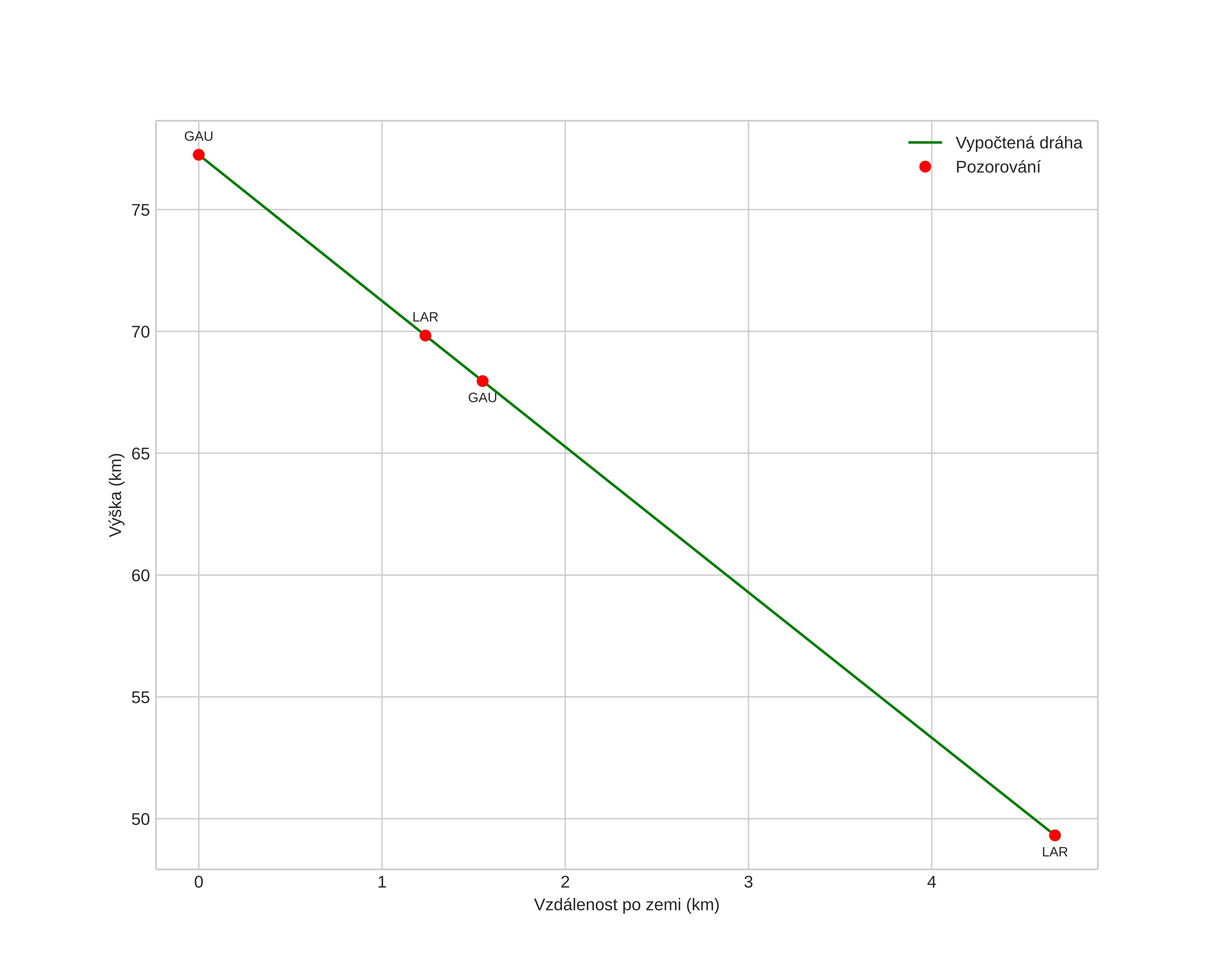
height profile
Atmosférická dráha meteoru:
Počáteční výška: 77,2 km
Konečná výška: 49,3 km
Počáteční poloha: 59,160N 6,748E
Konečná poloha: 59,124N 6,706E
Směr: 211,5°
Sklon: 80,5°
VstupnĂ­ rychlost: 19,8 km/s
Rektascenze radiantu: 14:59 (224,9°)
Deklinace radiantu: 67,5°
MeteorickĂ˝ roj: sporadickĂ˝
Elementy dráhy meteoroidu:
Vzdálenost v periheliu: 1,012 AU
Excentricita: 0,618
Sklon dráhy: 24,6°
Délka vzestupného uzlu: 61,0°
Argument perihelia: 180,4°
Střední anomálie: 359,9°
Epocha: 2024 MAY 21 21:44:30
orbit plot

NeinteraktivnĂ­ graf | InteraktivnĂ­ graf

position vs time
speed and acceleration

Gaustatoppen (GAU) cam1


gnomonic
Videa
• Gnomonická
• Gnomonická se souřadnicemi
• Původní
• Původní se souřadnicemi
Obrázky
• Gnomonická
• Gnomonická se souřadnicemi
• Gnomonická s popisky
• Původní
• Původní se souřadnicemi
Textové soubory
• Detekce
• Pozorování
• Souřadnice
• Chybová hlášení
• Protokol
Jasnost