🇳🇴 🇬🇧 🇩🇪 🇨🇿 🇫🇮

Meteor, poloha: Vigeland 2024-07-19 22:22:15 UTC

Soubor KML  |  InteraktivnĂ­ mapa

Mapa zobrazuje dráhy meteoru. Světlejší čáry ukazují směry od pozorovacích stanic při objevení se meteoru a tmavší čáry, kde byl naposledy viděn. Modrá šipka značí viditelnou dráhu meteoru.

static map
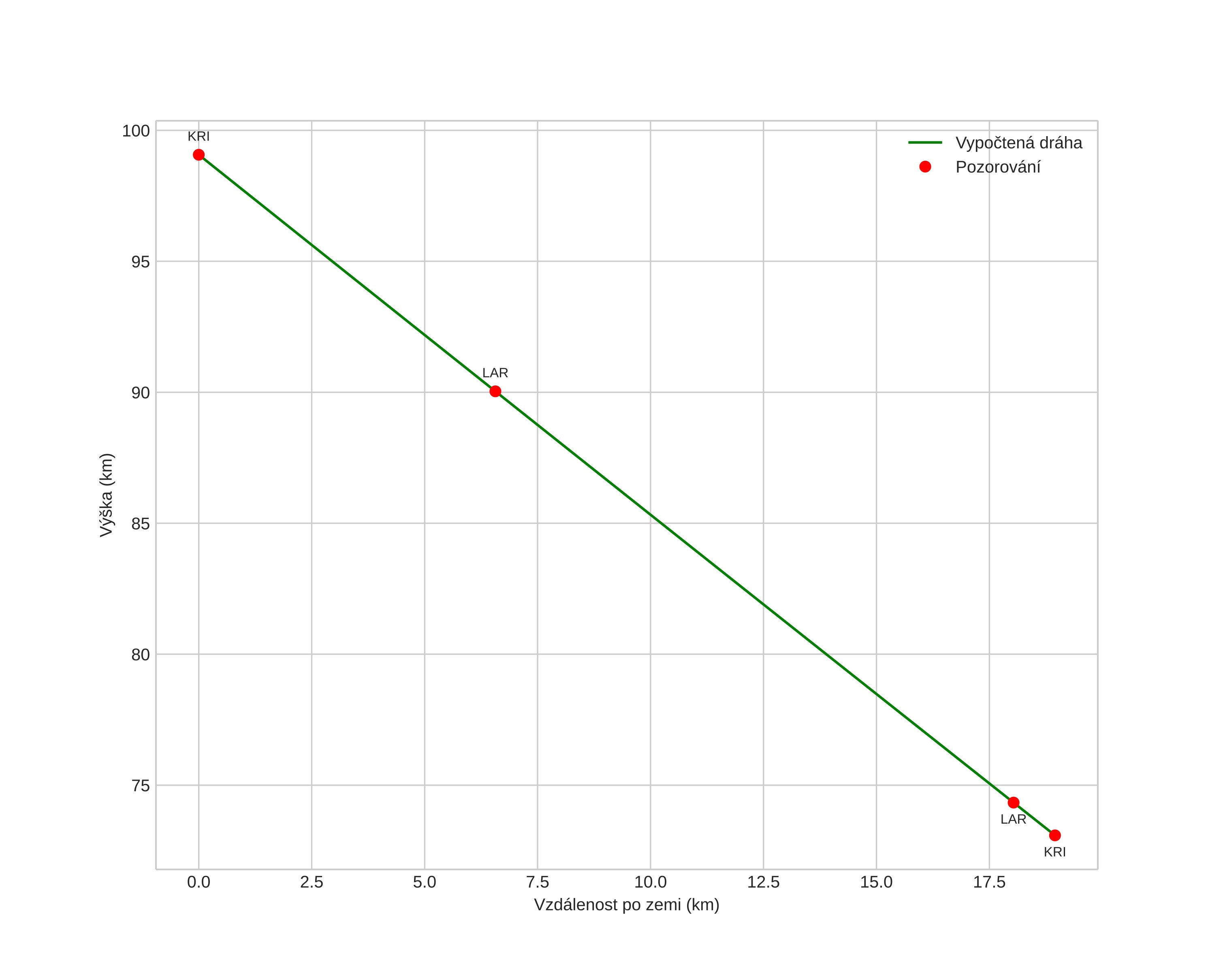
height profile
Atmosférická dráha meteoru:
Počáteční výška: 99,1 km
Konečná výška: 73,1 km
Počáteční poloha: 57,687N 7,126E
Konečná poloha: 57,857N 7,135E
Směr: 1,6°
Sklon: 53,9°
VstupnĂ­ rychlost: 23,9 km/s
Rektascenze radiantu: 18:35 (278,8°)
Deklinace radiantu: 19,2°
MeteorickĂ˝ roj: sporadickĂ˝
Elementy dráhy meteoroidu:
Vzdálenost v periheliu: 0,851 AU
Excentricita: 0,827
Sklon dráhy: 23,0°
Délka vzestupného uzlu: 117,4°
Argument perihelia: 230,2°
Střední anomálie: 357,0°
Epocha: 2024 JUL 19 22:22:15
orbit plot

NeinteraktivnĂ­ graf | InteraktivnĂ­ graf

position vs time
speed and acceleration

Kristiansand (KRI) cam6


gnomonic
Videa
• Gnomonická
• Gnomonická se souřadnicemi
• Původní
• Původní se souřadnicemi
Obrázky
• Gnomonická
• Gnomonická se souřadnicemi
• Gnomonická s popisky
• Původní
• Původní se souřadnicemi
Textové soubory
• Detekce
• Pozorování
• Souřadnice
• Protokol
Jasnost