🇳🇴 🇬🇧 🇩🇪 🇨🇿 🇫🇮

Meteor Gjerstadin yllä 2024-07-25 00:32:16 UTC

KML-tiedosto  |  Interaktiivinen kartta

Kartta näyttää meteorin suuntahavainnot. Vaaleammat viivat näyttävät suunnat havaintoasemilta meteorin ilmestyessä, ja tummemmat viivat näyttävät, missä se viimeksi nähtiin. Sininen nuoli näyttää meteorin näkyvän lennon.

static map
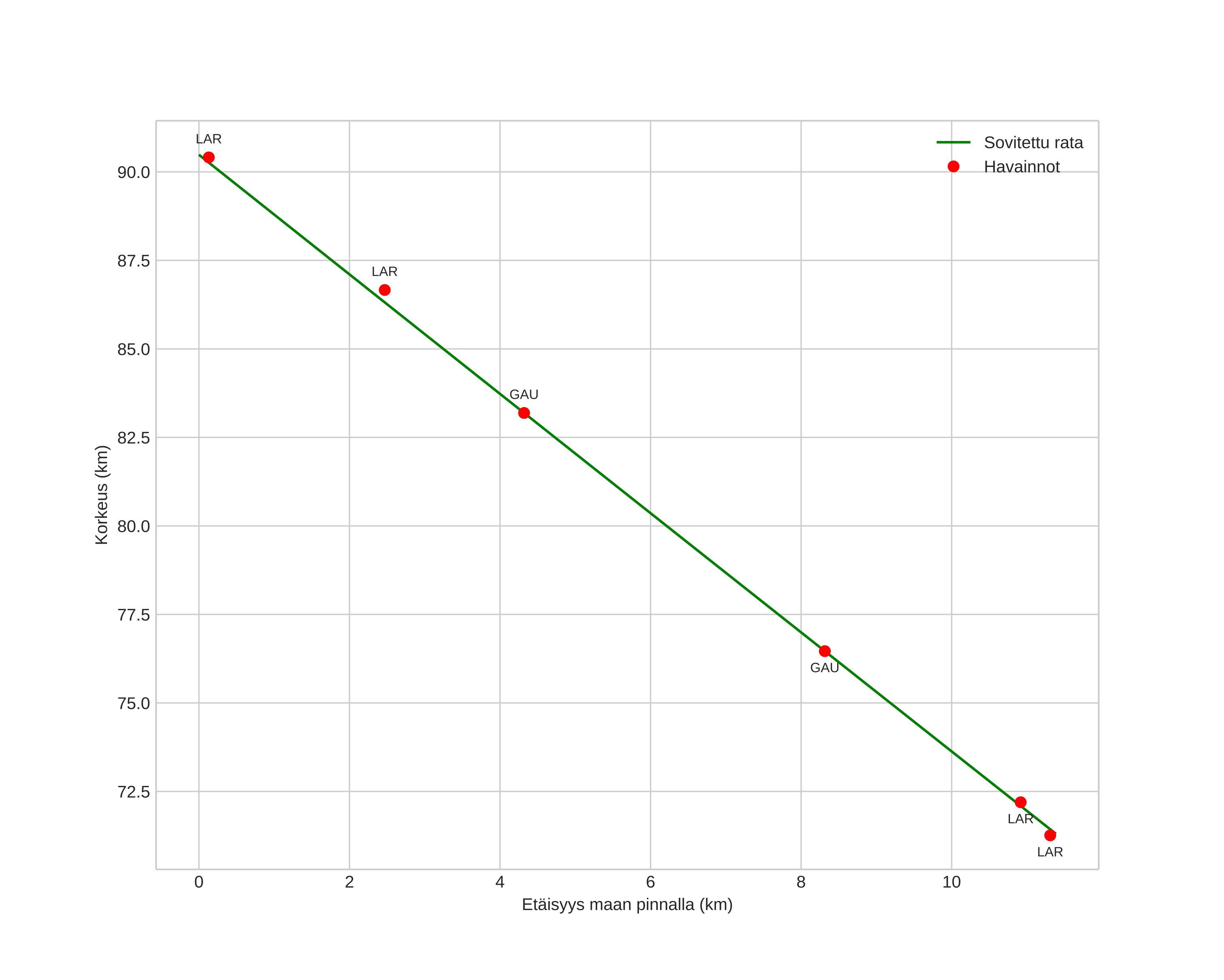
height profile
Meteorin ilmakehärata:
Alkukorkeus: 90,4 km
Loppukorkeus: 71,0 km
Alkupiste: 59,057N 8,812E
Loppupiste: 58,966N 8,901E
Suunta: 153,4°
Kallistuskulma: 59,7°
Tulonopeus: 27,4 km/s
Radiantin R,A,: 15:54 (238,6°)
Radiantin Dekl,: 75,7°
Meteoriparvi: Sporadinen
Meteoroidin rataelementit:
Perihelietäisyys: 0,990 AU
Eksentrisyys: 0,720
Inklinaatio: 39,7°
Nousevan solmun pituus: 122,2°
Perihelin argumentti: 159,9°
Keskianomalia: 2,3°
Epookki: 2024 JUL 25 00:32:16
orbit plot

Ei-interaktiivinen kuvaaja | Interaktiivinen kuvaaja

position vs time
speed and acceleration

Gaustatoppen (GAU) cam7


gnomonic
Videot:
• Gnomoninen
• Gnomoninen koordinaateilla
• Alkuperäinen
• Alkuperäinen koordinaateilla
Kuvat:
• Gnomoninen
• Gnomoninen koordinaateilla
• Gnomoninen merkinnöillä
• Alkuperäinen
• Alkuperäinen koordinaateilla
Tekstitiedostot:
• Havaintoraportti
• Observaatio
• Koordinaatit
• Virheilmoitukset
• Loki
Kirkkaus