🇳🇴 🇬🇧 🇩🇪 🇨🇿 🇫🇮

Meteor, poloha: Lampeland 2024-08-02 02:27:11 UTC

Soubor KML  |  InteraktivnĂ­ mapa

Mapa zobrazuje dráhy meteoru. Světlejší čáry ukazují směry od pozorovacích stanic při objevení se meteoru a tmavší čáry, kde byl naposledy viděn. Modrá šipka značí viditelnou dráhu meteoru.

static map
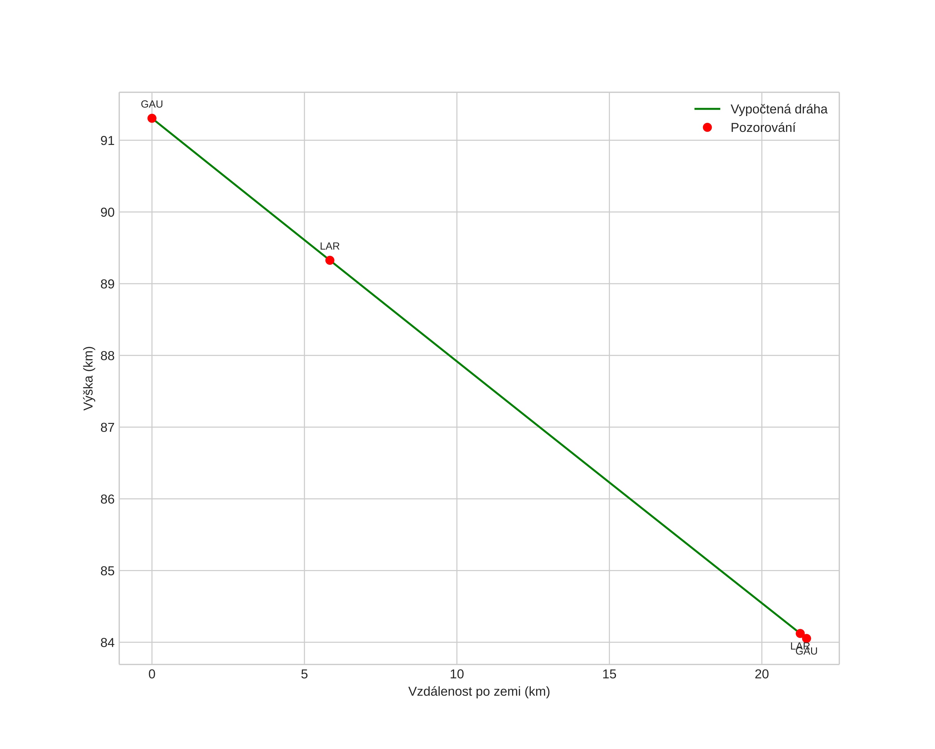
height profile
Atmosférická dráha meteoru:
Počáteční výška: 91,3 km
Konečná výška: 84,1 km
Počáteční poloha: 59,738N 9,369E
Konečná poloha: 59,835N 9,700E
Směr: 59,5°
Sklon: 18,5°
VstupnĂ­ rychlost: 28,2 km/s
Rektascenze radiantu: 20:01 (300,4°)
Deklinace radiantu: -1,3°
MeteorickĂ˝ roj: sporadickĂ˝
Elementy dráhy meteoroidu:
Vzdálenost v periheliu: 0,660 AU
Excentricita: 1,003
Sklon dráhy: 14,5°
Délka vzestupného uzlu: 130,0°
Argument perihelia: 252,4°
Střední anomálie: -0,0°
Epocha: 2024 AUG 02 02:27:11
orbit plot

NeinteraktivnĂ­ graf | InteraktivnĂ­ graf

position vs time
speed and acceleration

Gaustatoppen (GAU) cam7


gnomonic
Videa
• Gnomonická
• Gnomonická se souřadnicemi
• Původní
• Původní se souřadnicemi
Obrázky
• Gnomonická
• Gnomonická se souřadnicemi
• Gnomonická s popisky
• Původní
• Původní se souřadnicemi
Textové soubory
• Detekce
• Pozorování
• Souřadnice
• Chybová hlášení
• Protokol
Jasnost