🇳🇴 🇬🇧 🇩🇪 🇨🇿 🇫🇮

Meteor, poloha: Geilo 2024-08-04 21:38:14 UTC

Soubor KML  |  InteraktivnĂ­ mapa

Mapa zobrazuje dráhy meteoru. Světlejší čáry ukazují směry od pozorovacích stanic při objevení se meteoru a tmavší čáry, kde byl naposledy viděn. Modrá šipka značí viditelnou dráhu meteoru.

static map
height profile
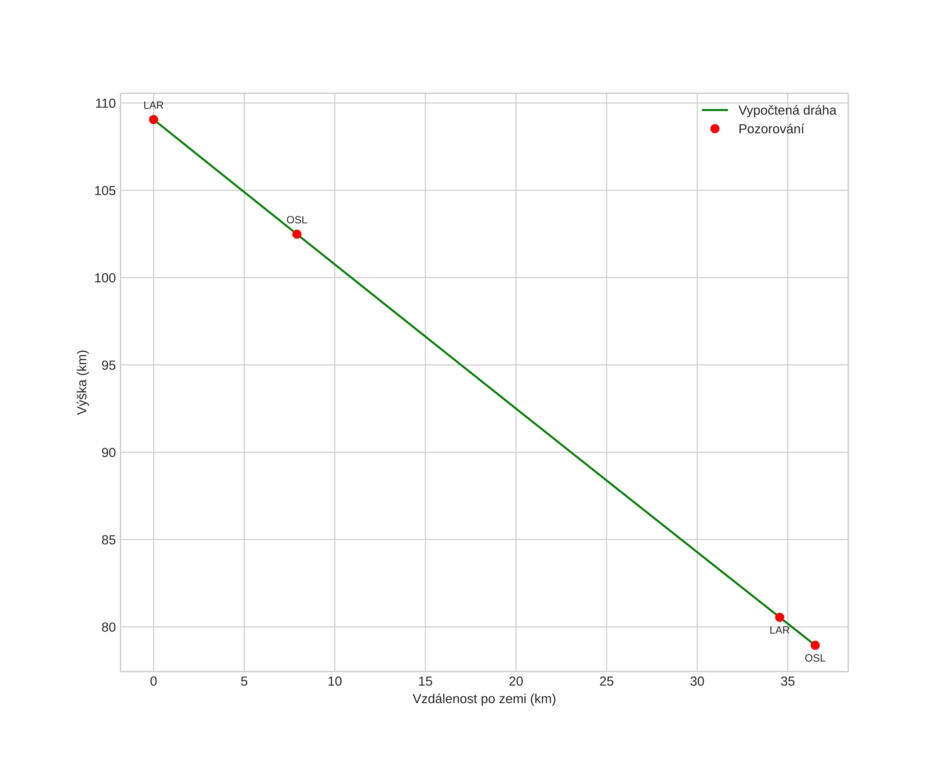
Atmosférická dráha meteoru:
Počáteční výška: 107,5 km
Konečná výška: 78,4 km
Počáteční poloha: 60,843N 8,442E
Konečná poloha: 60,608N 8,009E
Směr: 222,1°
Sklon: 39,6°
VstupnĂ­ rychlost: 60,3 km/s
Rektascenze radiantu: 02:27 (37,0°)
Deklinace radiantu: 56,3°
MeteorickĂ˝ roj: Perseidy
Elementy dráhy meteoroidu:
Vzdálenost v periheliu: 0,958 AU
Excentricita: 0,974
Sklon dráhy: 112,6°
Délka vzestupného uzlu: 132,6°
Argument perihelia: 152,6°
Střední anomálie: 0,1°
Epocha: 2024 AUG 04 21:38:14
orbit plot

NeinteraktivnĂ­ graf | InteraktivnĂ­ graf

position vs time
speed and acceleration