🇳🇴 🇬🇧 🇩🇪 🇨🇿 🇫🇮

Meteor, poloha: Ringebu 2024-08-08 20:42:58 UTC

Soubor KML  |  InteraktivnĂ­ mapa

Mapa zobrazuje dráhy meteoru. Světlejší čáry ukazují směry od pozorovacích stanic při objevení se meteoru a tmavší čáry, kde byl naposledy viděn. Modrá šipka značí viditelnou dráhu meteoru.

static map
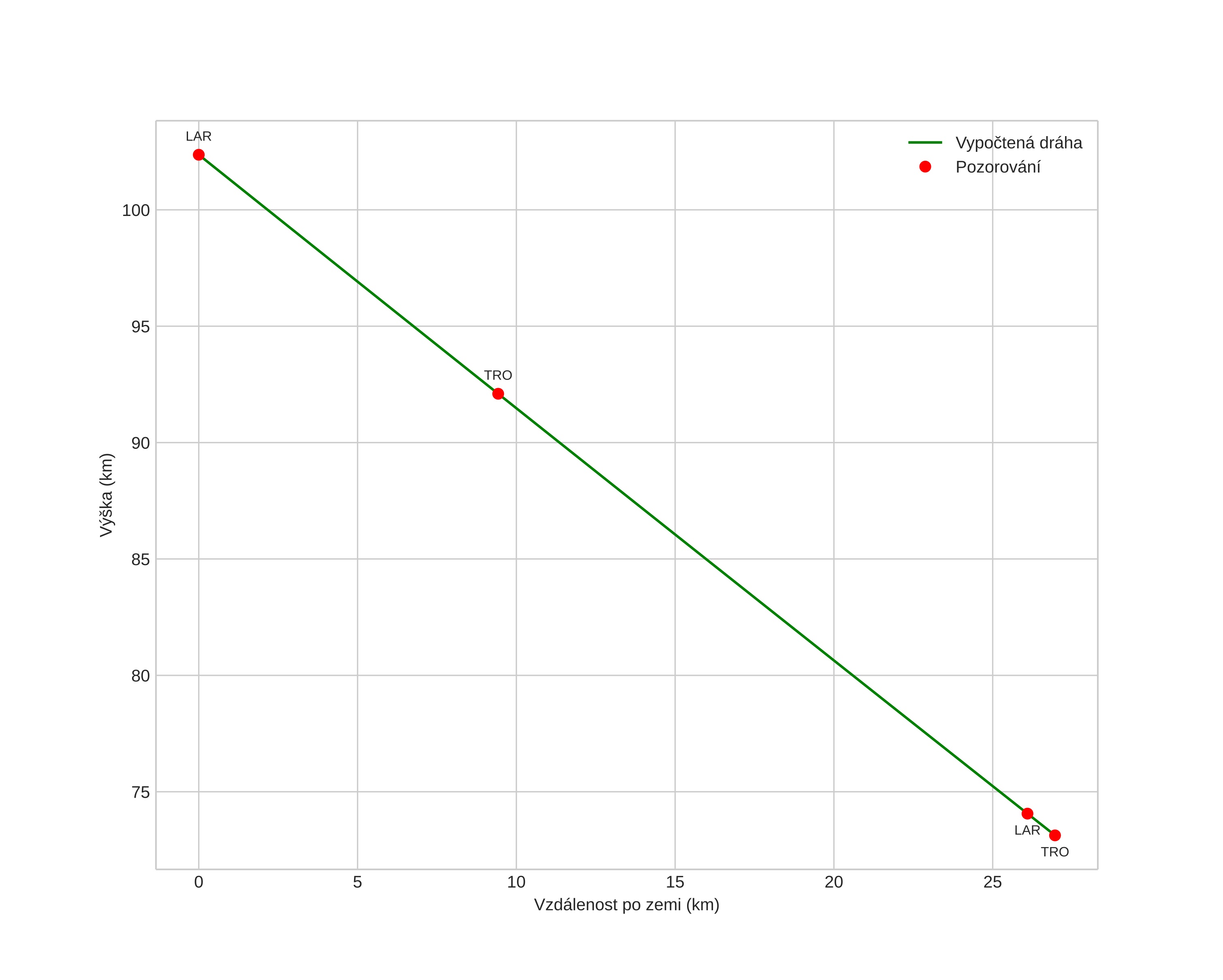
height profile
Atmosférická dráha meteoru:
Počáteční výška: 102,7 km
Konečná výška: 73,1 km
Počáteční poloha: 61,591N 10,641E
Konečná poloha: 61,473N 10,189E
Směr: 241,5°
Sklon: 47,3°
VstupnĂ­ rychlost: 55,7 km/s
Rektascenze radiantu: 00:11 (2,9°)
Deklinace radiantu: 52,8°
MeteorickĂ˝ roj: sporadickĂ˝
Elementy dráhy meteoroidu:
Vzdálenost v periheliu: 0,938 AU
Excentricita: 0,949
Sklon dráhy: 99,9°
Délka vzestupného uzlu: 136,4°
Argument perihelia: 212,2°
Střední anomálie: 359,7°
Epocha: 2024 AUG 08 20:42:58
orbit plot

NeinteraktivnĂ­ graf | InteraktivnĂ­ graf

position vs time
speed and acceleration