🇳🇴 🇬🇧 🇩🇪 🇨🇿 🇫🇮

Meteor, poloha: Hovden 2024-08-08 21:16:00 UTC

Soubor KML  |  InteraktivnĂ­ mapa

Mapa zobrazuje dráhy meteoru. Světlejší čáry ukazují směry od pozorovacích stanic při objevení se meteoru a tmavší čáry, kde byl naposledy viděn. Modrá šipka značí viditelnou dráhu meteoru.

static map
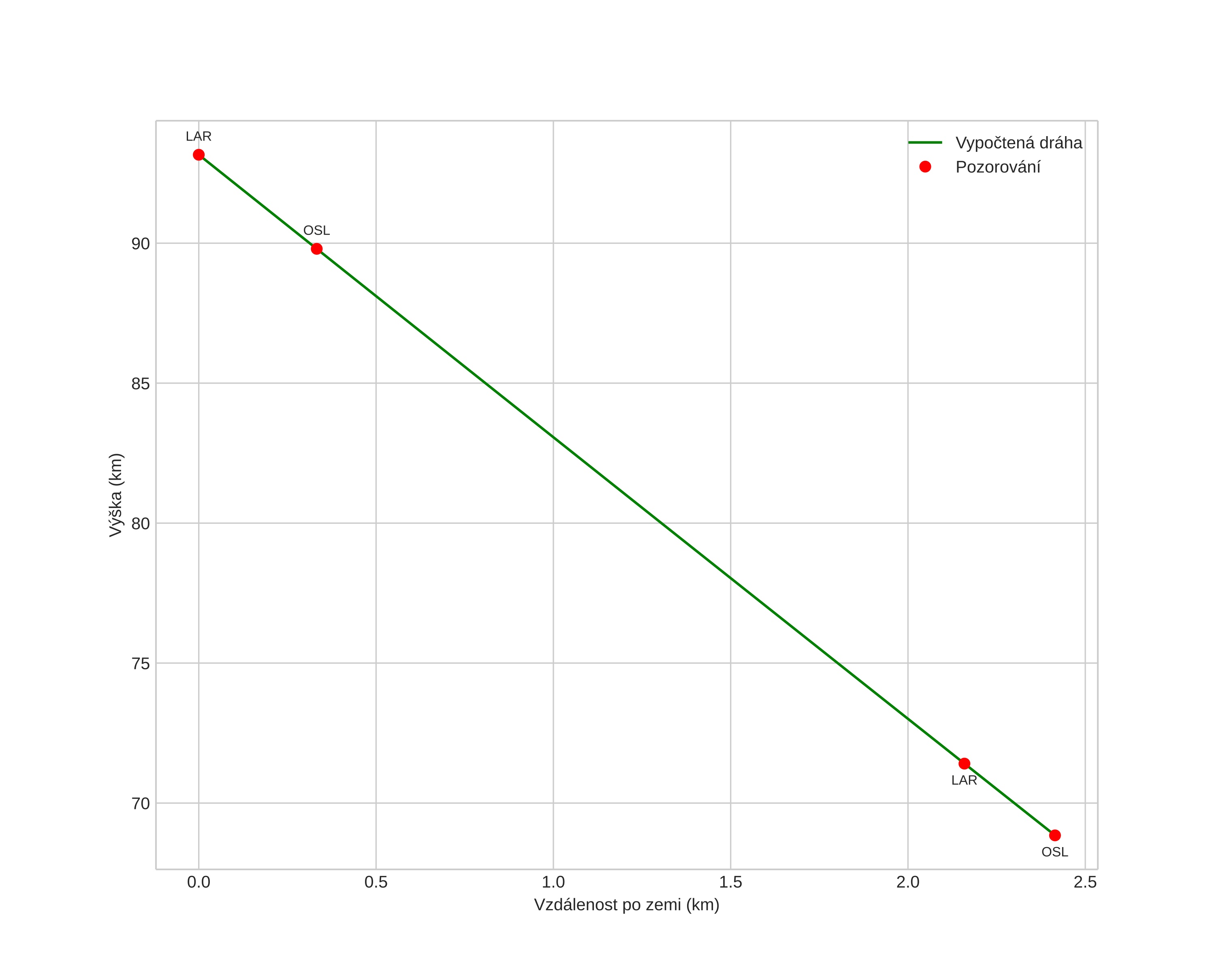
height profile
Atmosférická dráha meteoru:
Počáteční výška: 93,2 km
Konečná výška: 68,9 km
Počáteční poloha: 59,790N 6,929E
Konečná poloha: 59,809N 6,949E
Směr: 27,9°
Sklon: 84,3°
VstupnĂ­ rychlost: 26,9 km/s
Rektascenze radiantu: 18:31 (277,9°)
Deklinace radiantu: 54,2°
MeteorickĂ˝ roj: Kappa Cygnidy
Elementy dráhy meteoroidu:
Vzdálenost v periheliu: 0,995 AU
Excentricita: 0,836
Sklon dráhy: 37,0°
Délka vzestupného uzlu: 136,5°
Argument perihelia: 196,5°
Střední anomálie: 359,2°
Epocha: 2024 AUG 08 21:16:00
orbit plot

NeinteraktivnĂ­ graf | InteraktivnĂ­ graf

position vs time
speed and acceleration

Larvik (LAR) cam4

gnomonic
Videa
• Původní
Obrázky
• Původní
Textové soubory
• Detekce
• Pozorování
• Souřadnice
• Chybová hlášení
• Protokol
Jasnost