🇳🇴 🇬🇧 🇩🇪 🇨🇿 🇫🇮

Meteor, poloha: Lampeland 2024-08-17 20:01:22 UTC

Soubor KML  |  InteraktivnĂ­ mapa

Mapa zobrazuje dráhy meteoru. Světlejší čáry ukazují směry od pozorovacích stanic při objevení se meteoru a tmavší čáry, kde byl naposledy viděn. Modrá šipka značí viditelnou dráhu meteoru.

static map
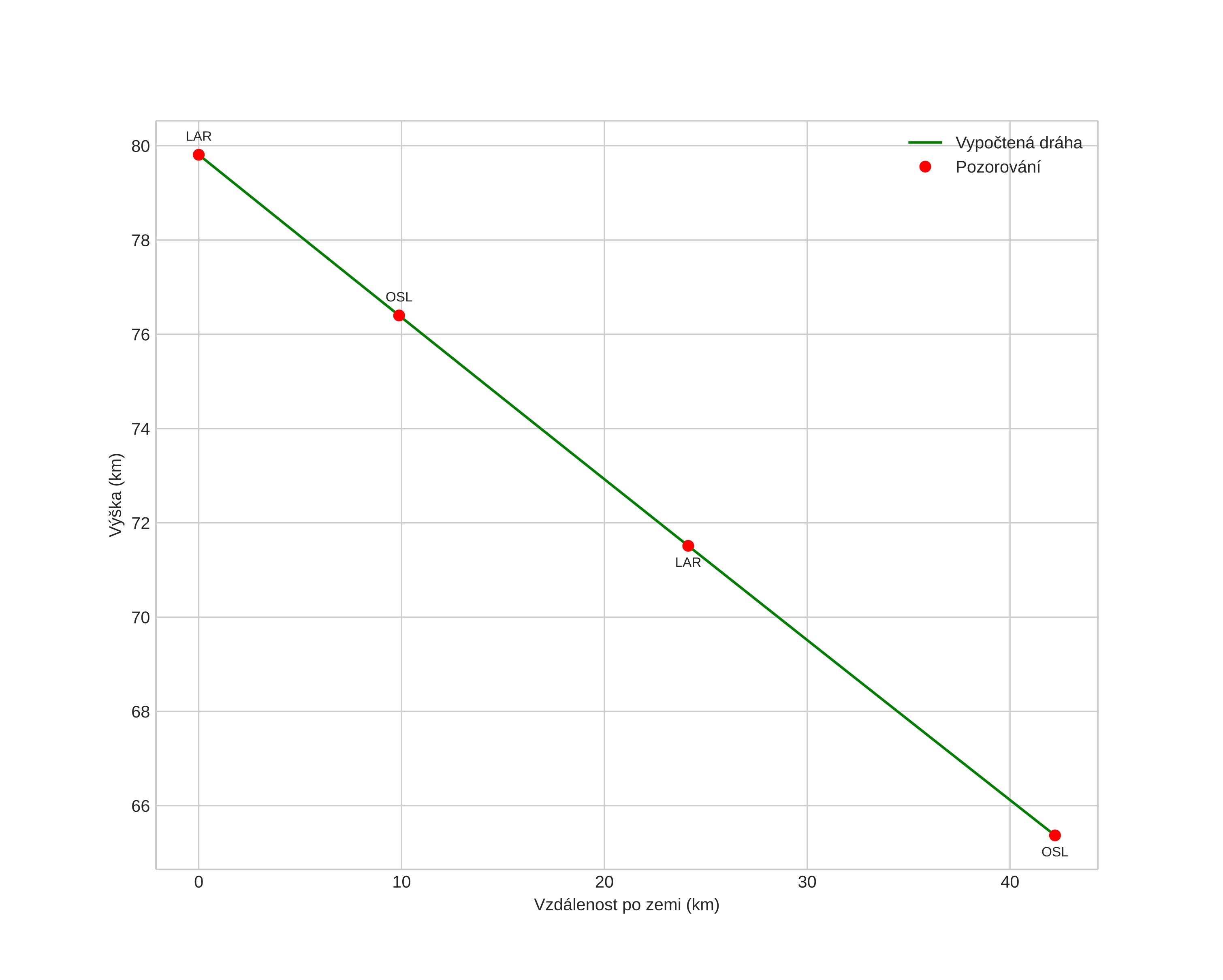
height profile
Atmosférická dráha meteoru:
Počáteční výška: 79,8 km
Konečná výška: 65,4 km
Počáteční poloha: 59,440N 9,910E
Konečná poloha: 59,767N 9,527E
Směr: 329,4°
Sklon: 18,8°
VstupnĂ­ rychlost: 18,3 km/s
Rektascenze radiantu: 20:29 (307,5°)
Deklinace radiantu: -17,1°
MeteorickĂ˝ roj: sporadickĂ˝
Elementy dráhy meteoroidu:
Vzdálenost v periheliu: 0,825 AU
Excentricita: 0,640
Sklon dráhy: 0,8°
Délka vzestupného uzlu: 145,2°
Argument perihelia: 238,1°
Střední anomálie: 348,7°
Epocha: 2024 AUG 17 20:01:22
orbit plot

NeinteraktivnĂ­ graf | InteraktivnĂ­ graf

position vs time
speed and acceleration