🇳🇴 🇬🇧 🇩🇪 🇨🇿 🇫🇮

Meteor, poloha: Olderdalen 2024-08-20 22:49:52 UTC

Soubor KML  |  InteraktivnĂ­ mapa

Mapa zobrazuje dráhy meteoru. Světlejší čáry ukazují směry od pozorovacích stanic při objevení se meteoru a tmavší čáry, kde byl naposledy viděn. Modrá šipka značí viditelnou dráhu meteoru.

static map
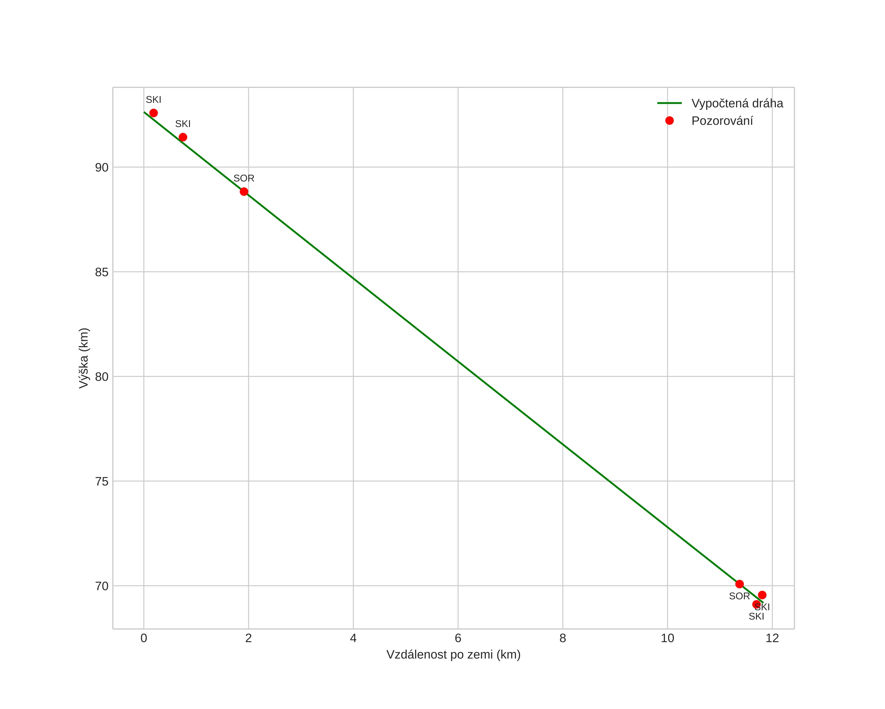
height profile
Atmosférická dráha meteoru:
Počáteční výška: 92,6 km
Konečná výška: 69,2 km
Počáteční poloha: 68,993N 20,716E
Konečná poloha: 68,982N 21,011E
Směr: 95,9°
Sklon: 63,2°
VstupnĂ­ rychlost: 24,3 km/s
Rektascenze radiantu: 18:08 (272,2°)
Deklinace radiantu: 56,6°
MeteorickĂ˝ roj: Kappa Cygnidy
Elementy dráhy meteoroidu:
Vzdálenost v periheliu: 1,006 AU
Excentricita: 0,724
Sklon dráhy: 33,4°
Délka vzestupného uzlu: 148,1°
Argument perihelia: 189,6°
Střední anomálie: 358,9°
Epocha: 2024 AUG 20 22:49:52
orbit plot

NeinteraktivnĂ­ graf | InteraktivnĂ­ graf

position vs time
speed and acceleration