🇳🇴 🇬🇧 🇩🇪 🇨🇿 🇫🇮

Meteor, poloha: Hansnes 2024-08-29 21:12:40 UTC

Soubor KML  |  InteraktivnĂ­ mapa

Mapa zobrazuje dráhy meteoru. Světlejší čáry ukazují směry od pozorovacích stanic při objevení se meteoru a tmavší čáry, kde byl naposledy viděn. Modrá šipka značí viditelnou dráhu meteoru.

static map
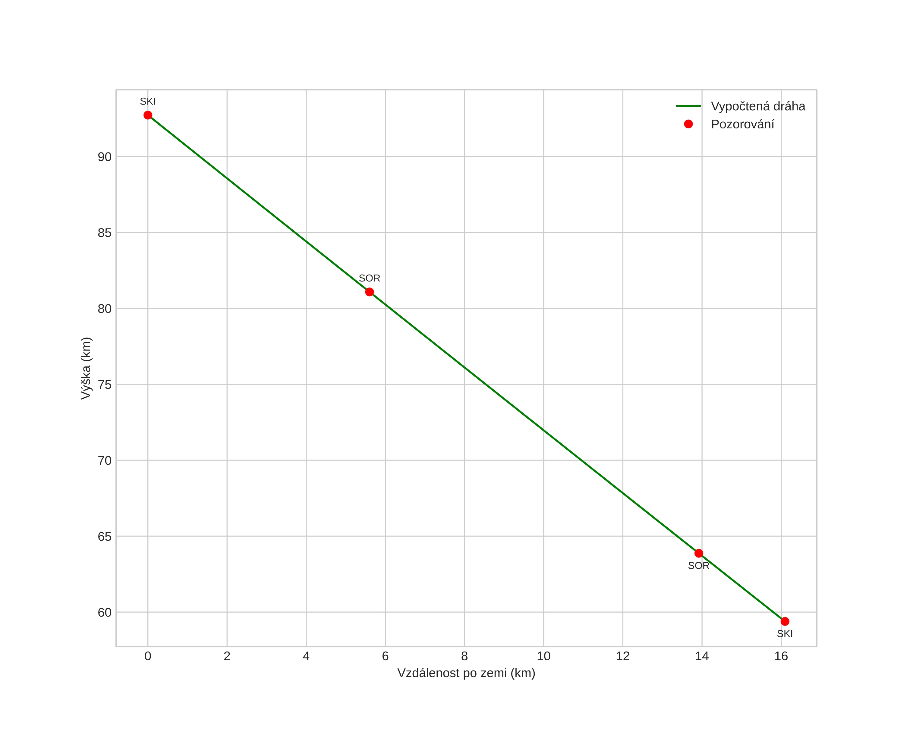
height profile
Atmosférická dráha meteoru:
Počáteční výška: 92,8 km
Konečná výška: 59,2 km
Počáteční poloha: 70,600N 19,171E
Konečná poloha: 70,734N 19,309E
Směr: 18,7°
Sklon: 64,9°
VstupnĂ­ rychlost: 24,4 km/s
Rektascenze radiantu: 20:13 (303,5°)
Deklinace radiantu: 44,4°
MeteorickĂ˝ roj: sporadickĂ˝
Elementy dráhy meteoroidu:
Vzdálenost v periheliu: 0,916 AU
Excentricita: 0,702
Sklon dráhy: 31,3°
Délka vzestupného uzlu: 156,7°
Argument perihelia: 219,2°
Střední anomálie: 354,8°
Epocha: 2024 AUG 29 21:12:40
orbit plot

NeinteraktivnĂ­ graf | InteraktivnĂ­ graf

position vs time
speed and acceleration