🇳🇴 🇬🇧 🇩🇪 🇨🇿 🇫🇮

Meteor, poloha: Storsteinnes 2024-09-02 21:20:44 UTC

Soubor KML  |  InteraktivnĂ­ mapa

Mapa zobrazuje dráhy meteoru. Světlejší čáry ukazují směry od pozorovacích stanic při objevení se meteoru a tmavší čáry, kde byl naposledy viděn. Modrá šipka značí viditelnou dráhu meteoru.

static map
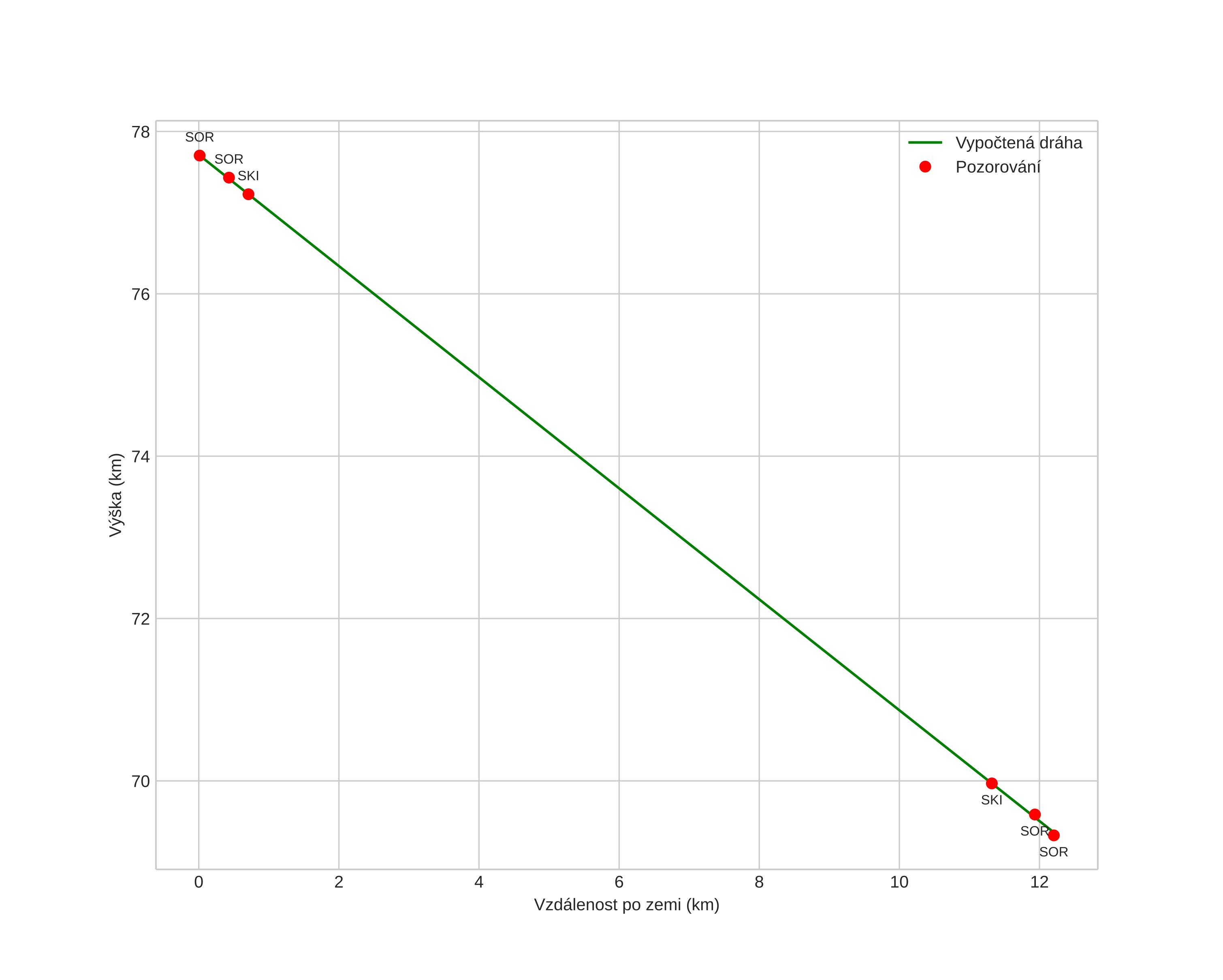
height profile
Atmosférická dráha meteoru:
Počáteční výška: 77,8 km
Konečná výška: 69,3 km
Počáteční poloha: 68,739N 19,248E
Konečná poloha: 68,850N 19,221E
Směr: 354,9°
Sklon: 34,6°
VstupnĂ­ rychlost: 18,6 km/s
Rektascenze radiantu: 21:41 (325,5°)
Deklinace radiantu: 6,7°
MeteorickĂ˝ roj: sporadickĂ˝
Elementy dráhy meteoroidu:
Vzdálenost v periheliu: 0,773 AU
Excentricita: 0,563
Sklon dráhy: 8,8°
Délka vzestupného uzlu: 160,6°
Argument perihelia: 249,4°
Střední anomálie: 340,6°
Epocha: 2024 SEP 02 21:20:44
orbit plot

NeinteraktivnĂ­ graf | InteraktivnĂ­ graf

position vs time
speed and acceleration