🇳🇴 🇬🇧 🇩🇪 🇨🇿 🇫🇮

Meteor, poloha: Treungen 2024-09-12 22:39:50 UTC

Soubor KML  |  InteraktivnĂ­ mapa

Mapa zobrazuje dráhy meteoru. Světlejší čáry ukazují směry od pozorovacích stanic při objevení se meteoru a tmavší čáry, kde byl naposledy viděn. Modrá šipka značí viditelnou dráhu meteoru.

static map
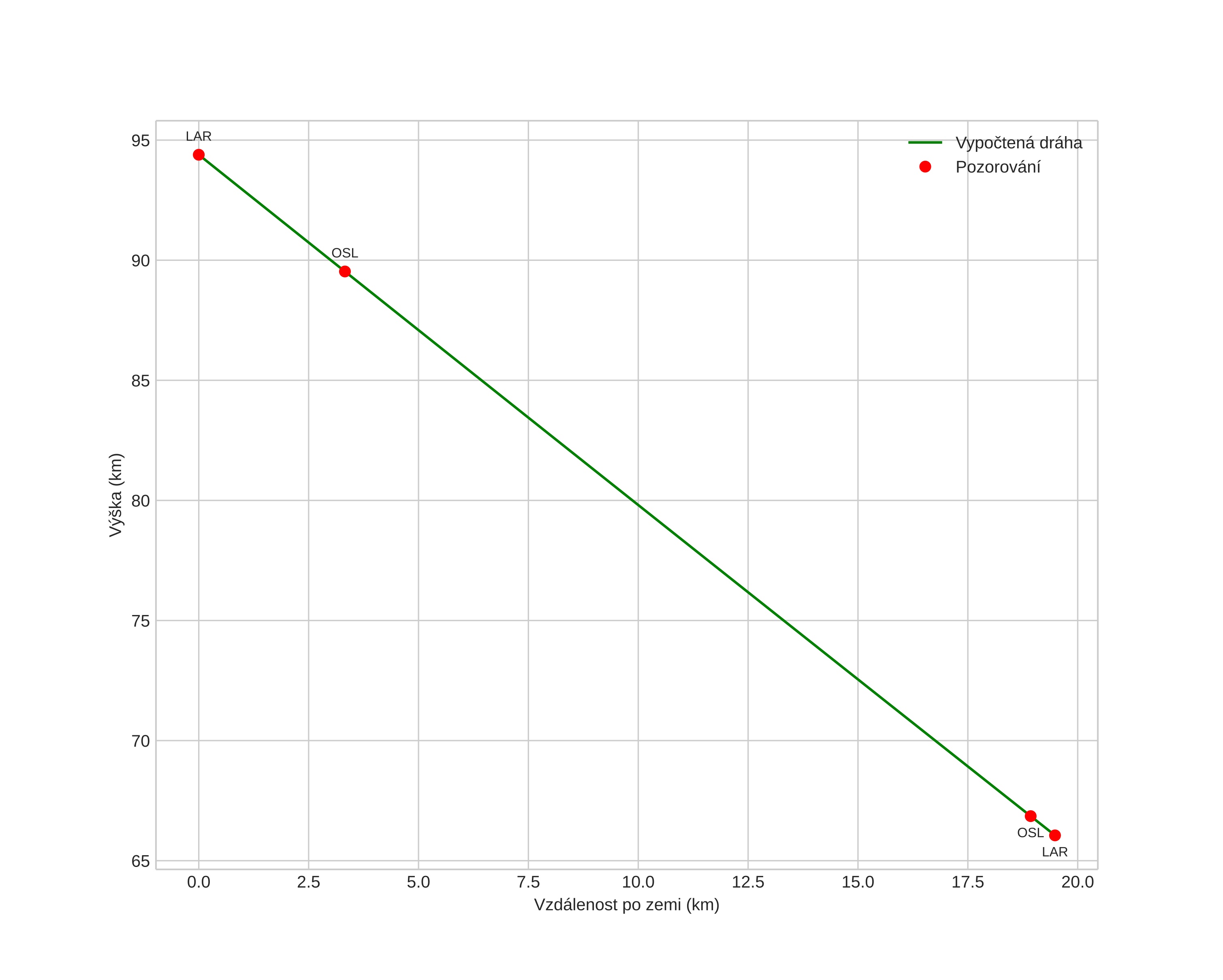
height profile
Atmosférická dráha meteoru:
Počáteční výška: 92,7 km
Konečná výška: 64,4 km
Počáteční poloha: 59,236N 8,075E
Konečná poloha: 59,119N 8,332E
Směr: 131,6°
Sklon: 55,3°
VstupnĂ­ rychlost: 22,5 km/s
Rektascenze radiantu: 17:13 (258,4°)
Deklinace radiantu: 62,3°
MeteorickĂ˝ roj: sporadickĂ˝
Elementy dráhy meteoroidu:
Vzdálenost v periheliu: 1,005 AU
Excentricita: 0,537
Sklon dráhy: 32,0°
Délka vzestupného uzlu: 170,3°
Argument perihelia: 175,0°
Střední anomálie: 1,3°
Epocha: 2024 SEP 12 22:39:50
orbit plot

NeinteraktivnĂ­ graf | InteraktivnĂ­ graf

position vs time
speed and acceleration