🇳🇴 🇬🇧 🇩🇪 🇨🇿 🇫🇮

Meteor, poloha: Olderdalen 2024-09-12 22:48:59 UTC

Soubor KML  |  InteraktivnĂ­ mapa

Mapa zobrazuje dráhy meteoru. Světlejší čáry ukazují směry od pozorovacích stanic při objevení se meteoru a tmavší čáry, kde byl naposledy viděn. Modrá šipka značí viditelnou dráhu meteoru.

static map
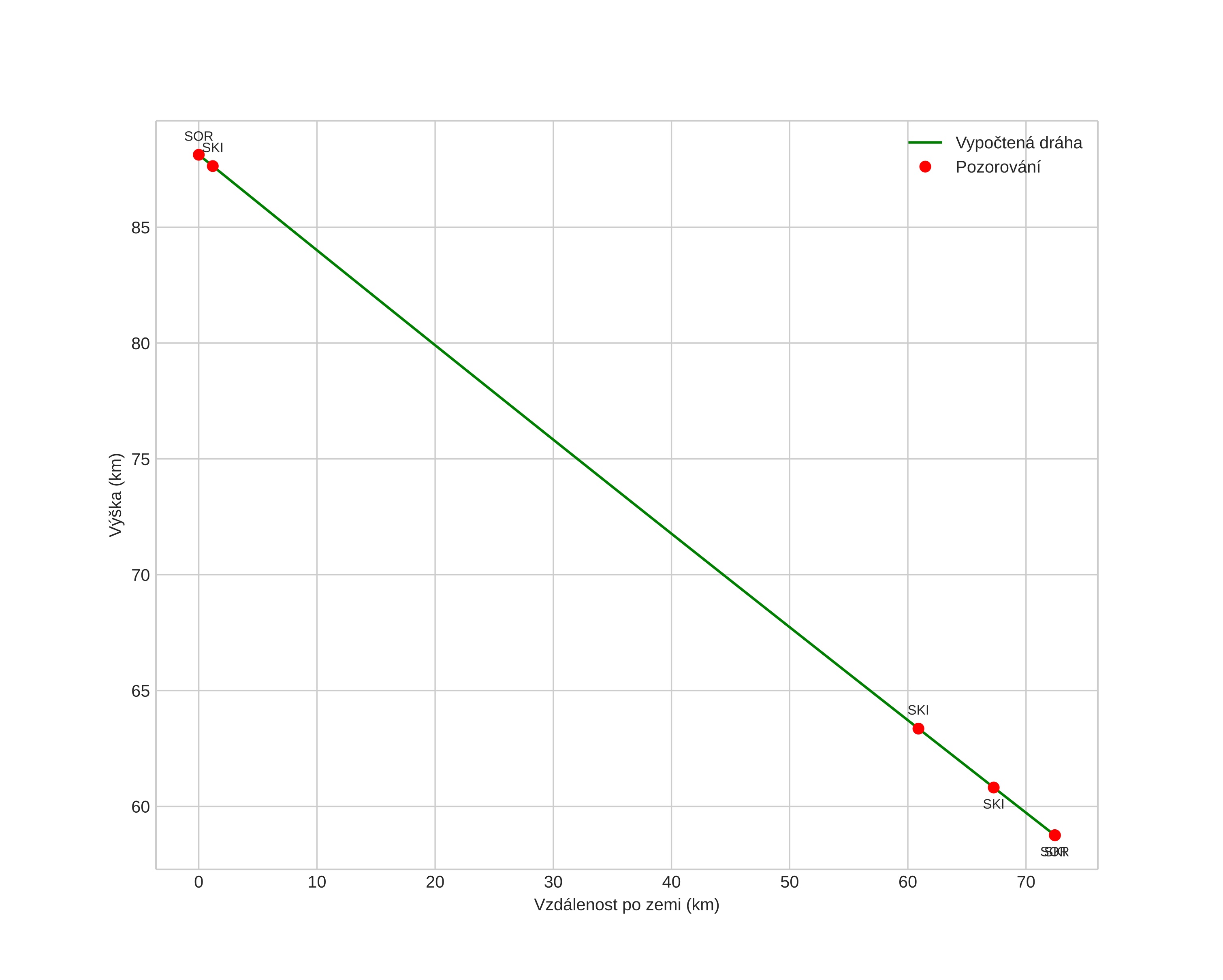
height profile
Atmosférická dráha meteoru:
Počáteční výška: 69,2 km
Konečná výška: 36,1 km
Počáteční poloha: 69,699N 19,148E
Konečná poloha: 69,270N 20,441E
Směr: 132,8°
Sklon: 25,5°
VstupnĂ­ rychlost: 14,7 km/s
Rektascenze radiantu: 15:04 (226,0°)
Deklinace radiantu: 23,8°
MeteorickĂ˝ roj: sporadickĂ˝
Elementy dráhy meteoroidu:
Vzdálenost v periheliu: 0,976 AU
Excentricita: 0,472
Sklon dráhy: 10,1°
Délka vzestupného uzlu: 170,3°
Argument perihelia: 155,0°
Střední anomálie: 8,1°
Epocha: 2024 SEP 12 22:48:59
orbit plot

NeinteraktivnĂ­ graf | InteraktivnĂ­ graf

position vs time
speed and acceleration