🇳🇴 🇬🇧 🇩🇪 🇨🇿 🇫🇮

Meteor, poloha: Fedje 2024-09-14 03:16:22 UTC

Soubor KML  |  InteraktivnĂ­ mapa

Mapa zobrazuje dráhy meteoru. Světlejší čáry ukazují směry od pozorovacích stanic při objevení se meteoru a tmavší čáry, kde byl naposledy viděn. Modrá šipka značí viditelnou dráhu meteoru.

static map
height profile
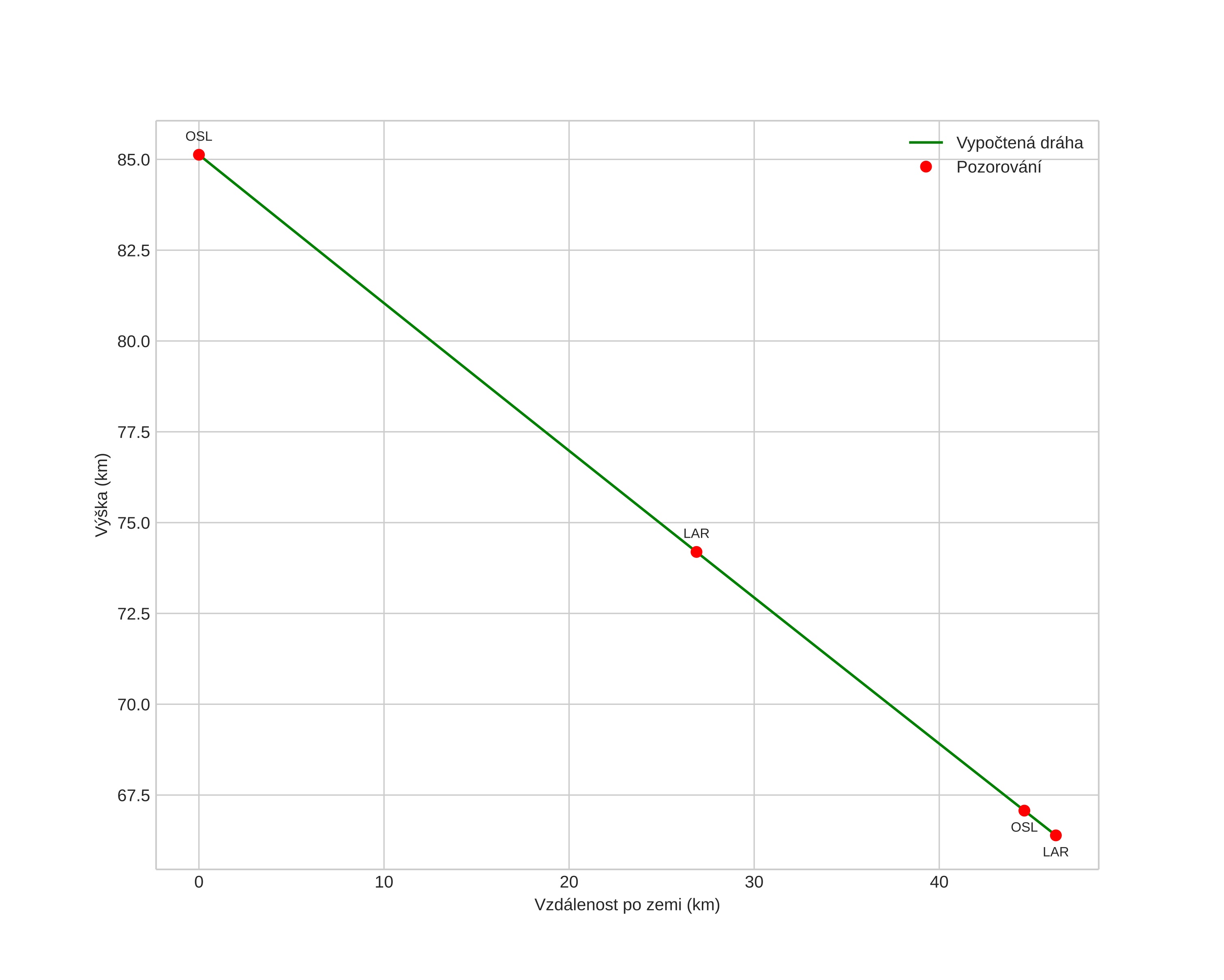
Atmosférická dráha meteoru:
Počáteční výška: 81,9 km
Konečná výška: 66,1 km
Počáteční poloha: 60,638N 3,118E
Konečná poloha: 60,880N 3,595E
Směr: 43,7°
Sklon: 23,0°
VstupnĂ­ rychlost: 39,0 km/s
Rektascenze radiantu: 00:20 (5,1°)
Deklinace radiantu: -0,9°
MeteorickĂ˝ roj: sporadickĂ˝
Elementy dráhy meteoroidu:
Vzdálenost v periheliu: 0,257 AU
Excentricita: 1,017
Sklon dráhy: 5,0°
Délka vzestupného uzlu: 351,5°
Argument perihelia: 118,5°
Střední anomálie: -0,6°
Epocha: 2024 SEP 14 03:16:22
orbit plot

NeinteraktivnĂ­ graf | InteraktivnĂ­ graf

position vs time
speed and acceleration