🇳🇴 🇬🇧 🇩🇪 🇨🇿 🇫🇮

Meteor, poloha: Hillerød 2024-09-20 02:08:11 UTC

Soubor KML  |  InteraktivnĂ­ mapa

Mapa zobrazuje dráhy meteoru. Světlejší čáry ukazují směry od pozorovacích stanic při objevení se meteoru a tmavší čáry, kde byl naposledy viděn. Modrá šipka značí viditelnou dráhu meteoru.

static map
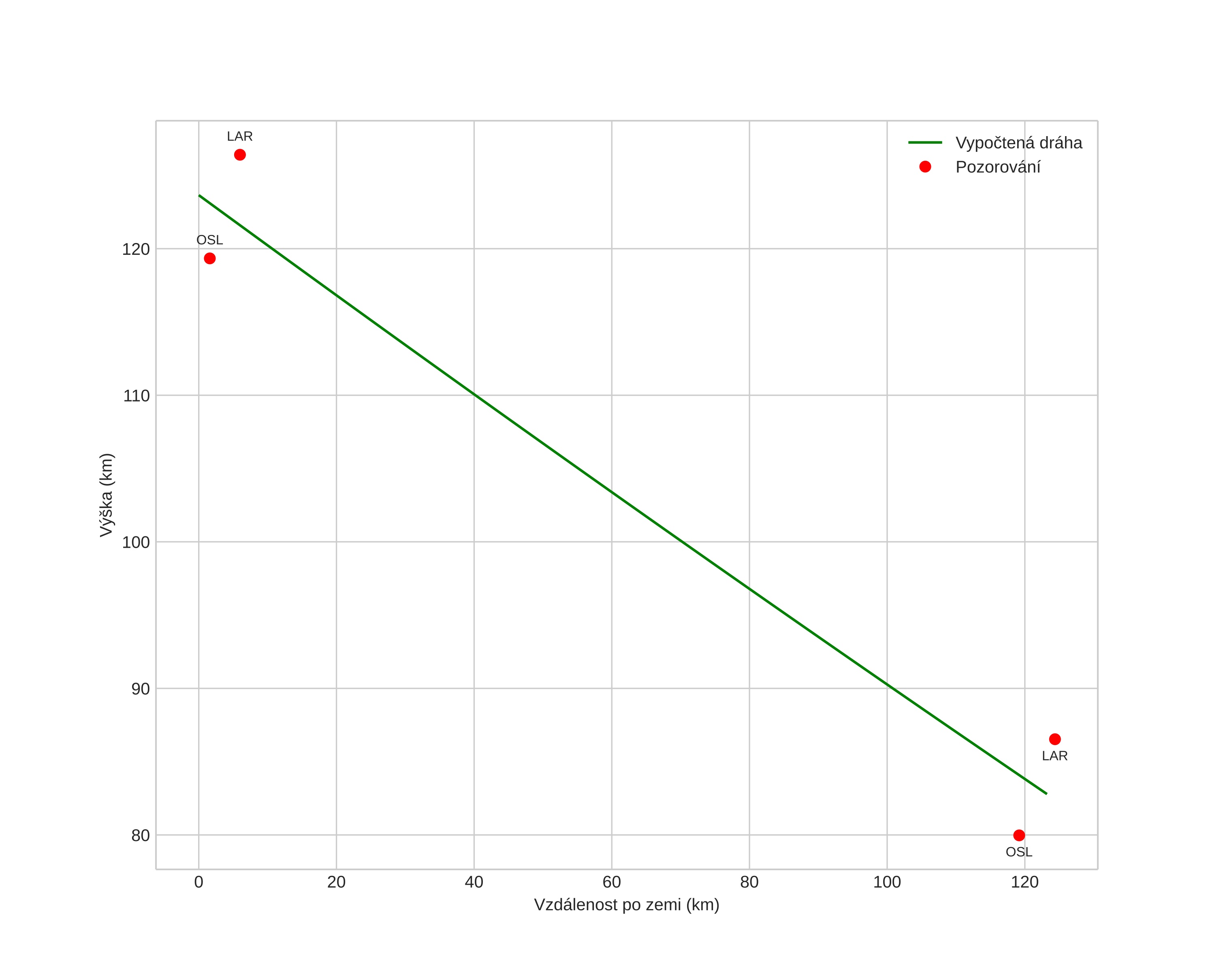
height profile
Atmosférická dráha meteoru:
Počáteční výška: 123,8 km
Konečná výška: 82,7 km
Počáteční poloha: 55,100N 13,454E
Konečná poloha: 55,983N 12,275E
Směr: 323,4°
Sklon: 18,5°
VstupnĂ­ rychlost: 87,4 km/s
Rektascenze radiantu: 05:18 (79,6°)
Deklinace radiantu: -10,5°
MeteorickĂ˝ roj: sporadickĂ˝
Elementy dráhy meteoroidu:
Vzdálenost v periheliu: 0,980 AU
Excentricita: 3,650
Sklon dráhy: 131,0°
Délka vzestupného uzlu: 357,3°
Argument perihelia: 14,2°
Střední anomálie: -28,8°
Epocha: 2024 SEP 20 02:08:11
orbit plot

NeinteraktivnĂ­ graf | InteraktivnĂ­ graf

position vs time
speed and acceleration