🇳🇴 🇬🇧 🇩🇪 🇨🇿 🇫🇮

Meteor, poloha: Lesja 2024-09-30 00:49:47 UTC

Soubor KML  |  InteraktivnĂ­ mapa

Mapa zobrazuje dráhy meteoru. Světlejší čáry ukazují směry od pozorovacích stanic při objevení se meteoru a tmavší čáry, kde byl naposledy viděn. Modrá šipka značí viditelnou dráhu meteoru.

static map
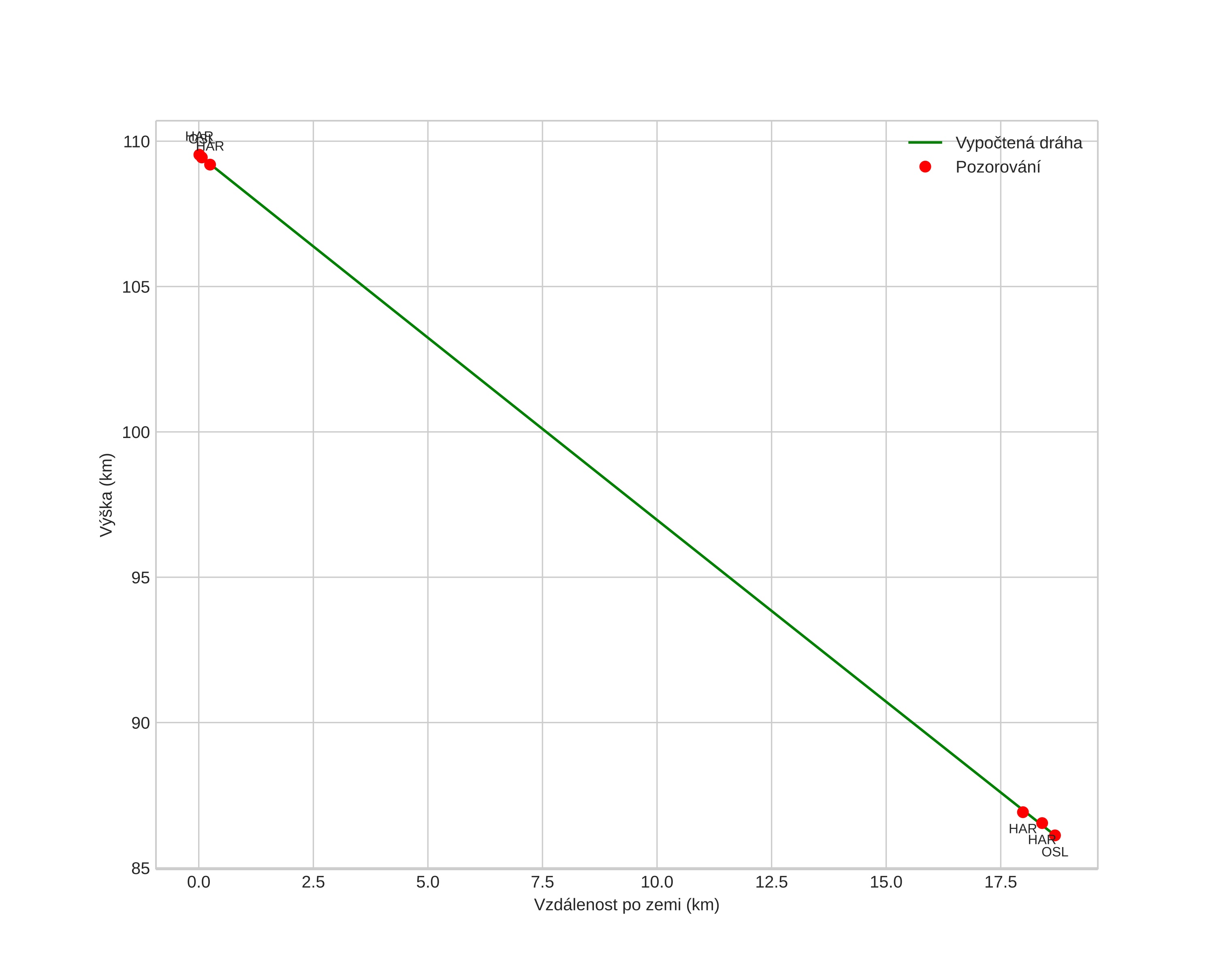
height profile
Atmosférická dráha meteoru:
Počáteční výška: 109,3 km
Konečná výška: 85,8 km
Počáteční poloha: 62,368N 9,068E
Konečná poloha: 62,347N 8,717E
Směr: 262,7°
Sklon: 52,1°
VstupnĂ­ rychlost: 70,2 km/s
Rektascenze radiantu: 06:16 (94,2°)
Deklinace radiantu: 47,2°
MeteorickĂ˝ roj: sporadickĂ˝
Elementy dráhy meteoroidu:
Vzdálenost v periheliu: 0,990 AU
Excentricita: 1,161
Sklon dráhy: 140,1°
Délka vzestupného uzlu: 187,0°
Argument perihelia: 191,7°
Střední anomálie: -0,5°
Epocha: 2024 SEP 30 00:49:47
orbit plot

NeinteraktivnĂ­ graf | InteraktivnĂ­ graf

position vs time
speed and acceleration