🇳🇴 🇬🇧 🇩🇪 🇨🇿 🇫🇮

Meteor, poloha: Hardbakke 2024-09-30 01:47:44 UTC

Soubor KML  |  InteraktivnĂ­ mapa

Mapa zobrazuje dráhy meteoru. Světlejší čáry ukazují směry od pozorovacích stanic při objevení se meteoru a tmavší čáry, kde byl naposledy viděn. Modrá šipka značí viditelnou dráhu meteoru.

static map
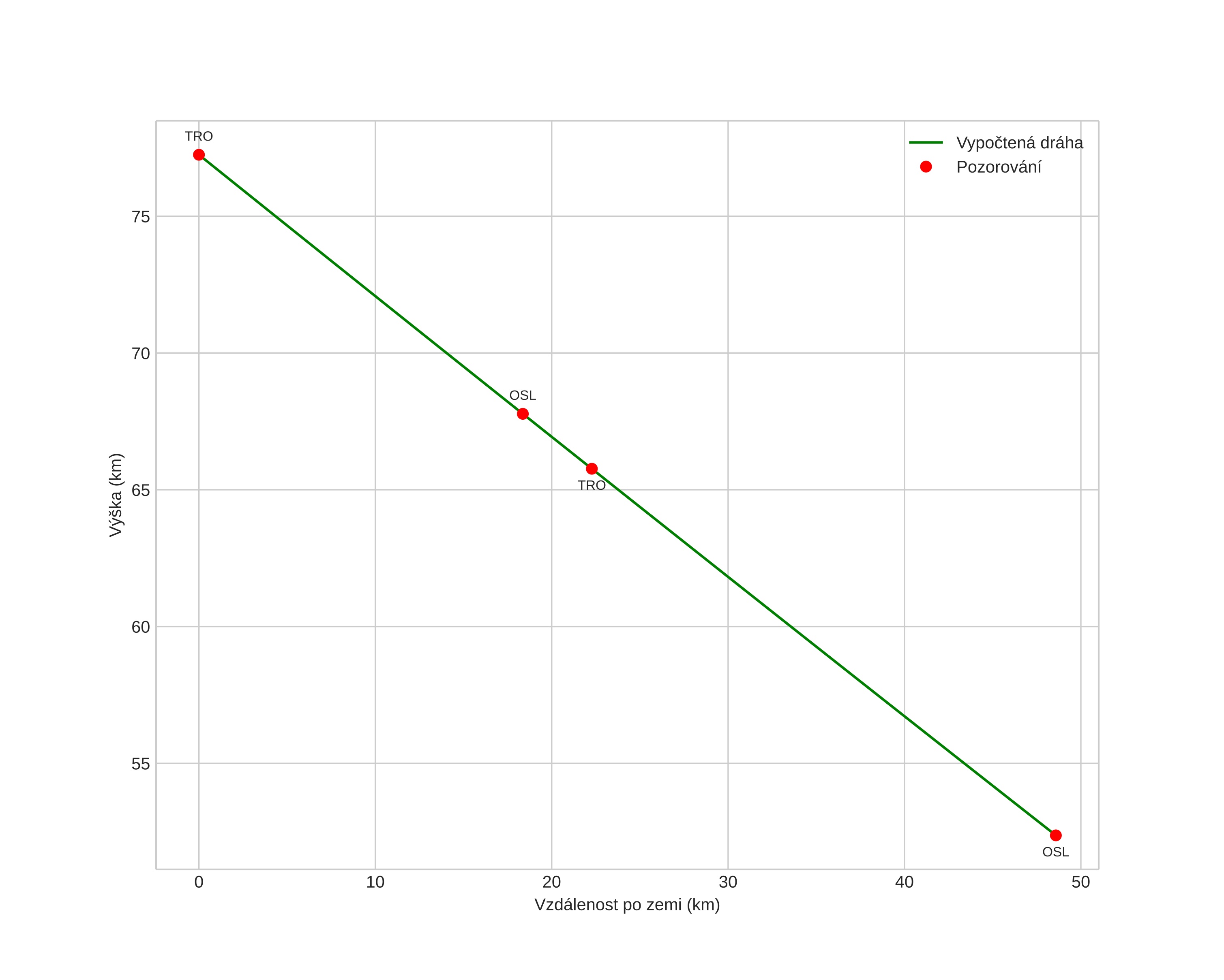
height profile
Atmosférická dráha meteoru:
Počáteční výška: 77,2 km
Konečná výška: 52,4 km
Počáteční poloha: 62,395N 2,695E
Konečná poloha: 61,961N 2,805E
Směr: 173,2°
Sklon: 27,1°
VstupnĂ­ rychlost: 24,5 km/s
Rektascenze radiantu: 15:17 (229,4°)
Deklinace radiantu: 50,4°
MeteorickĂ˝ roj: sporadickĂ˝
Elementy dráhy meteoroidu:
Vzdálenost v periheliu: 0,934 AU
Excentricita: 0,676
Sklon dráhy: 31,9°
Délka vzestupného uzlu: 187,1°
Argument perihelia: 146,5°
Střední anomálie: 5,0°
Epocha: 2024 SEP 30 01:47:44
orbit plot

NeinteraktivnĂ­ graf | InteraktivnĂ­ graf

position vs time
speed and acceleration