🇳🇴 🇬🇧 🇩🇪 🇨🇿 🇫🇮

Meteor, poloha: Rjukan 2024-10-01 22:51:04 UTC

Soubor KML  |  InteraktivnĂ­ mapa

Mapa zobrazuje dráhy meteoru. Světlejší čáry ukazují směry od pozorovacích stanic při objevení se meteoru a tmavší čáry, kde byl naposledy viděn. Modrá šipka značí viditelnou dráhu meteoru.

static map
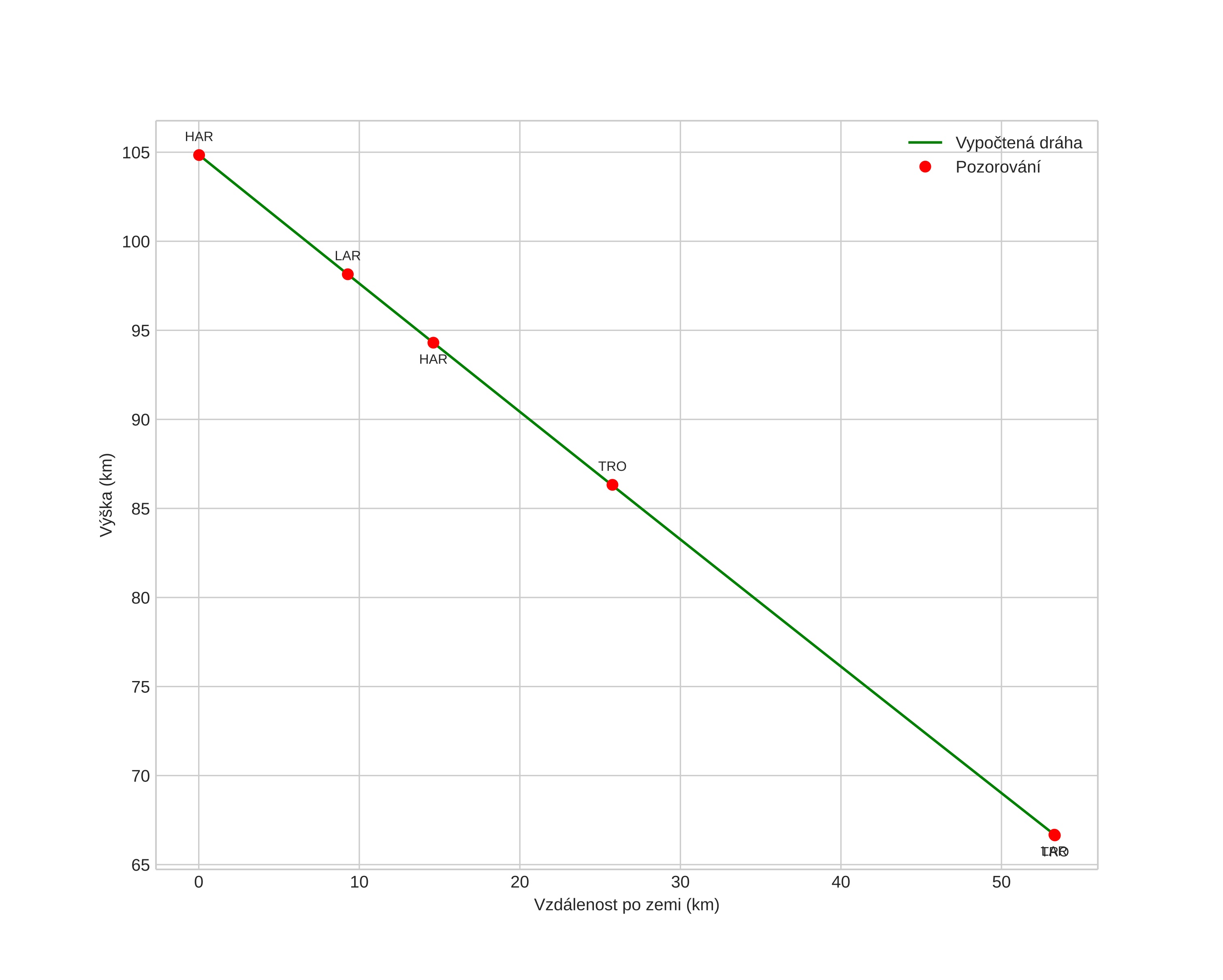
height profile
Atmosférická dráha meteoru:
Počáteční výška: 102,9 km
Konečná výška: 66,2 km
Počáteční poloha: 59,789N 9,030E
Konečná poloha: 60,199N 8,620E
Směr: 333,6°
Sklon: 35,7°
VstupnĂ­ rychlost: 31,5 km/s
Rektascenze radiantu: 01:35 (23,9°)
Deklinace radiantu: 5,9°
MeteorickĂ˝ roj: JiĹľnĂ­ Tauridy
Elementy dráhy meteoroidu:
Vzdálenost v periheliu: 0,297 AU
Excentricita: 0,847
Sklon dráhy: 5,0°
Délka vzestupného uzlu: 8,9°
Argument perihelia: 122,2°
Střední anomálie: 344,7°
Epocha: 2024 OCT 01 22:51:04
orbit plot

NeinteraktivnĂ­ graf | InteraktivnĂ­ graf

position vs time
speed and acceleration