🇳🇴 🇬🇧 🇩🇪 🇨🇿 🇫🇮

Meteor, poloha: Rjukan 2024-10-02 01:01:33 UTC

Soubor KML  |  InteraktivnĂ­ mapa

Mapa zobrazuje dráhy meteoru. Světlejší čáry ukazují směry od pozorovacích stanic při objevení se meteoru a tmavší čáry, kde byl naposledy viděn. Modrá šipka značí viditelnou dráhu meteoru.

static map
height profile
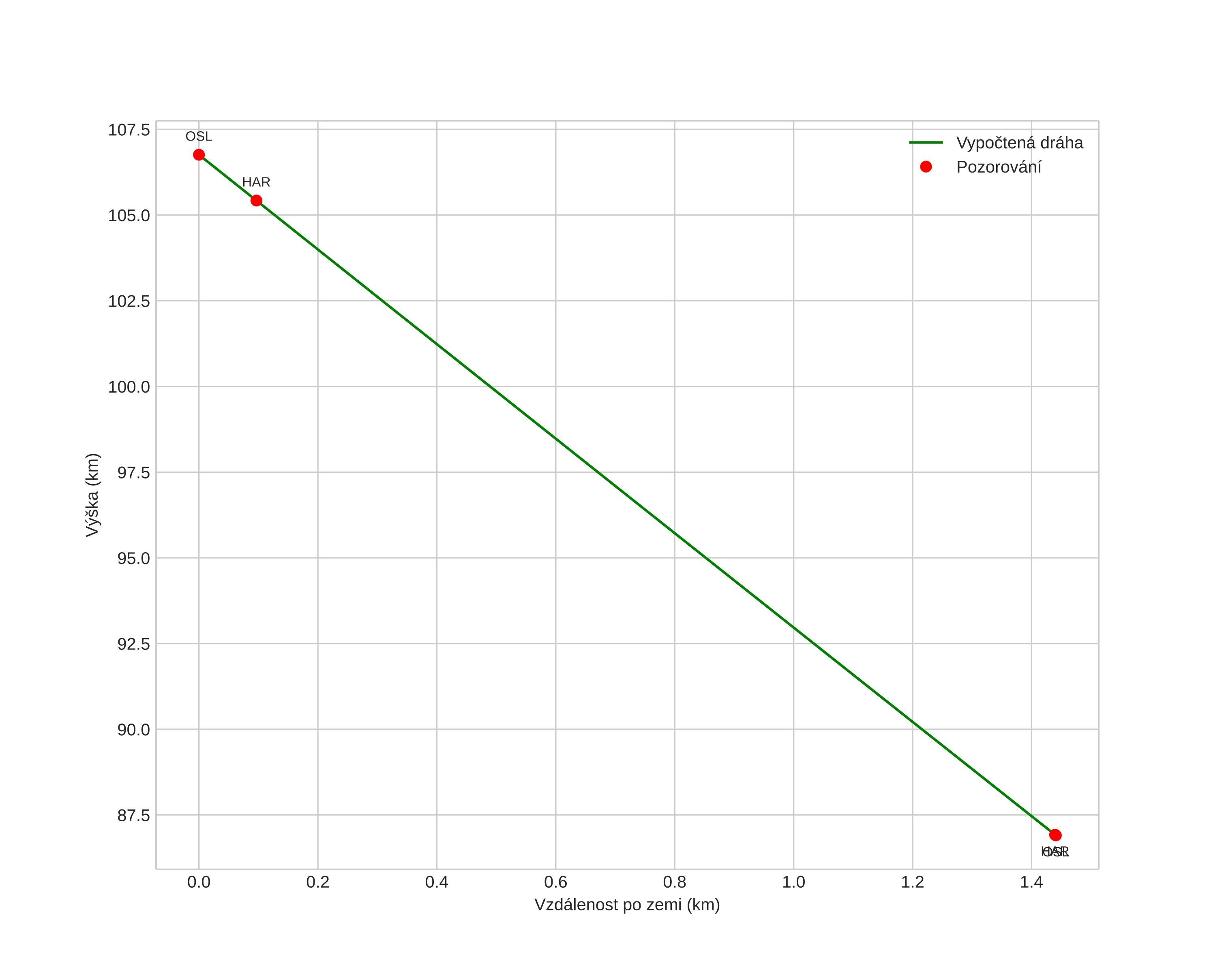
Atmosférická dráha meteoru:
Počáteční výška: 106,8 km
Konečná výška: 86,9 km
Počáteční poloha: 60,062N 8,700E
Konečná poloha: 60,054N 8,678E
Směr: 235,7°
Sklon: 85,9°
VstupnĂ­ rychlost: 58,5 km/s
Rektascenze radiantu: 02:46 (41,7°)
Deklinace radiantu: 62,0°
MeteorickĂ˝ roj: sporadickĂ˝
Elementy dráhy meteoroidu:
Vzdálenost v periheliu: 0,737 AU
Excentricita: 1,390
Sklon dráhy: 94,7°
Délka vzestupného uzlu: 189,0°
Argument perihelia: 236,8°
Střední anomálie: -11,1°
Epocha: 2024 OCT 02 01:01:33
orbit plot

NeinteraktivnĂ­ graf | InteraktivnĂ­ graf

position vs time
speed and acceleration