🇳🇴 🇬🇧 🇩🇪 🇨🇿 🇫🇮

Meteor, poloha: Sauland 2024-10-02 22:39:07 UTC

Soubor KML  |  InteraktivnĂ­ mapa

Mapa zobrazuje dráhy meteoru. Světlejší čáry ukazují směry od pozorovacích stanic při objevení se meteoru a tmavší čáry, kde byl naposledy viděn. Modrá šipka značí viditelnou dráhu meteoru.

static map
height profile
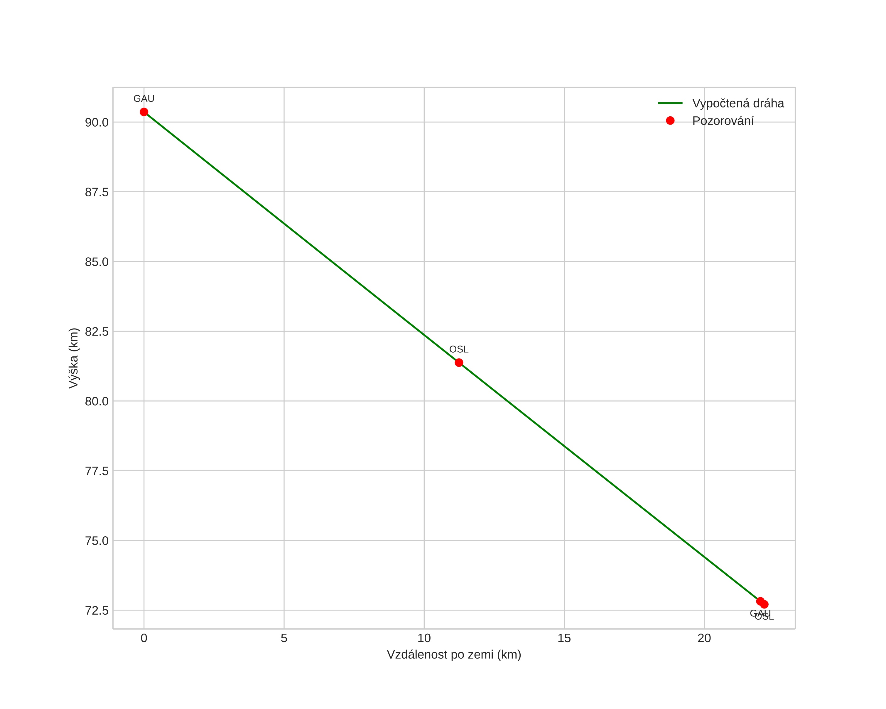
Atmosférická dráha meteoru:
Počáteční výška: 89,1 km
Konečná výška: 71,7 km
Počáteční poloha: 59,481N 8,730E
Konečná poloha: 59,681N 8,765E
Směr: 5,1°
Sklon: 37,9°
VstupnĂ­ rychlost: 14,8 km/s
Rektascenze radiantu: 23:38 (354,6°)
Deklinace radiantu: -4,1°
MeteorickĂ˝ roj: sporadickĂ˝
Elementy dráhy meteoroidu:
Vzdálenost v periheliu: 0,847 AU
Excentricita: 0,412
Sklon dráhy: 0,5°
Délka vzestupného uzlu: 10,0°
Argument perihelia: 61,7°
Střední anomálie: 333,6°
Epocha: 2024 OCT 02 22:39:07
orbit plot

NeinteraktivnĂ­ graf | InteraktivnĂ­ graf

position vs time
speed and acceleration