🇳🇴 🇬🇧 🇩🇪 🇨🇿 🇫🇮

Meteor, poloha: Sand 2024-10-03 04:03:58 UTC

Soubor KML  |  InteraktivnĂ­ mapa

Mapa zobrazuje dráhy meteoru. Světlejší čáry ukazují směry od pozorovacích stanic při objevení se meteoru a tmavší čáry, kde byl naposledy viděn. Modrá šipka značí viditelnou dráhu meteoru.

static map
height profile
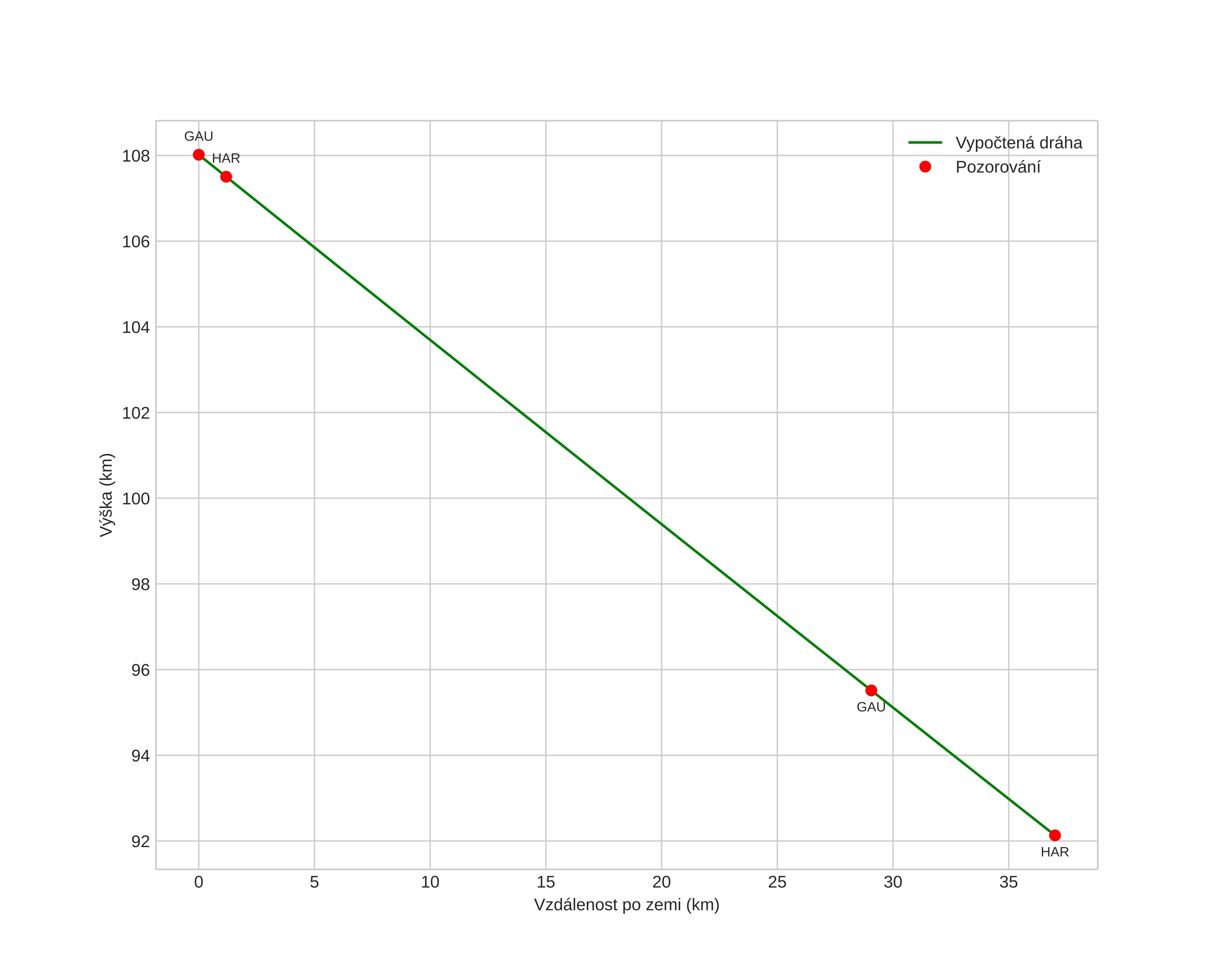
Atmosférická dráha meteoru:
Počáteční výška: 109,8 km
Konečná výška: 96,2 km
Počáteční poloha: 59,006N 6,876E
Konečná poloha: 59,245N 6,640E
Směr: 333,3°
Sklon: 24,5°
VstupnĂ­ rychlost: 68,7 km/s
Rektascenze radiantu: 06:55 (103,9°)
Deklinace radiantu: -4,1°
MeteorickĂ˝ roj: sporadickĂ˝
Elementy dráhy meteoroidu:
Vzdálenost v periheliu: 0,987 AU
Excentricita: 1,117
Sklon dráhy: 134,9°
Délka vzestupného uzlu: 10,1°
Argument perihelia: 346,7°
Střední anomálie: 0,4°
Epocha: 2024 OCT 03 04:03:58
orbit plot

NeinteraktivnĂ­ graf | InteraktivnĂ­ graf

position vs time
speed and acceleration