🇳🇴 🇬🇧 🇩🇪 🇨🇿 🇫🇮

Meteor, poloha: Fyresdal 2024-10-03 21:10:23 UTC

Soubor KML  |  InteraktivnĂ­ mapa

Mapa zobrazuje dráhy meteoru. Světlejší čáry ukazují směry od pozorovacích stanic při objevení se meteoru a tmavší čáry, kde byl naposledy viděn. Modrá šipka značí viditelnou dráhu meteoru.

static map
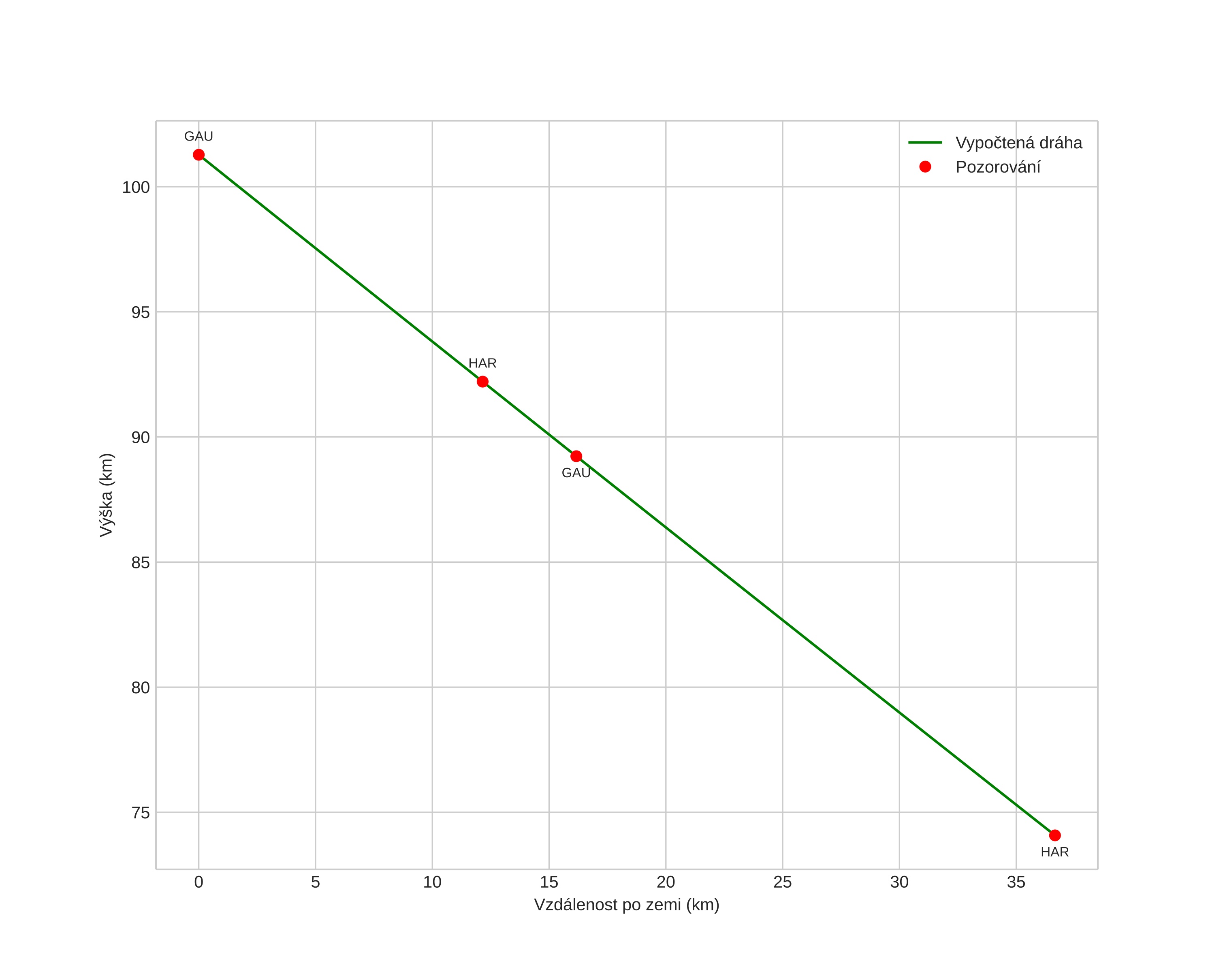
height profile
Atmosférická dráha meteoru:
Počáteční výška: 101,8 km
Konečná výška: 74,0 km
Počáteční poloha: 59,378N 7,539E
Konečná poloha: 59,105N 7,918E
Směr: 144,4°
Sklon: 36,8°
VstupnĂ­ rychlost: 32,6 km/s
Rektascenze radiantu: 14:31 (217,9°)
Deklinace radiantu: 56,2°
MeteorickĂ˝ roj: sporadickĂ˝
Elementy dráhy meteoroidu:
Vzdálenost v periheliu: 0,895 AU
Excentricita: 0,865
Sklon dráhy: 46,0°
Délka vzestupného uzlu: 190,8°
Argument perihelia: 140,5°
Střední anomálie: 1,5°
Epocha: 2024 OCT 03 21:10:23
orbit plot

NeinteraktivnĂ­ graf | InteraktivnĂ­ graf

position vs time
speed and acceleration