🇳🇴 🇬🇧 🇩🇪 🇨🇿 🇫🇮

Meteor, poloha: Sørreisa 2024-10-06 20:01:07 UTC

Soubor KML  |  InteraktivnĂ­ mapa

Mapa zobrazuje dráhy meteoru. Světlejší čáry ukazují směry od pozorovacích stanic při objevení se meteoru a tmavší čáry, kde byl naposledy viděn. Modrá šipka značí viditelnou dráhu meteoru.

static map
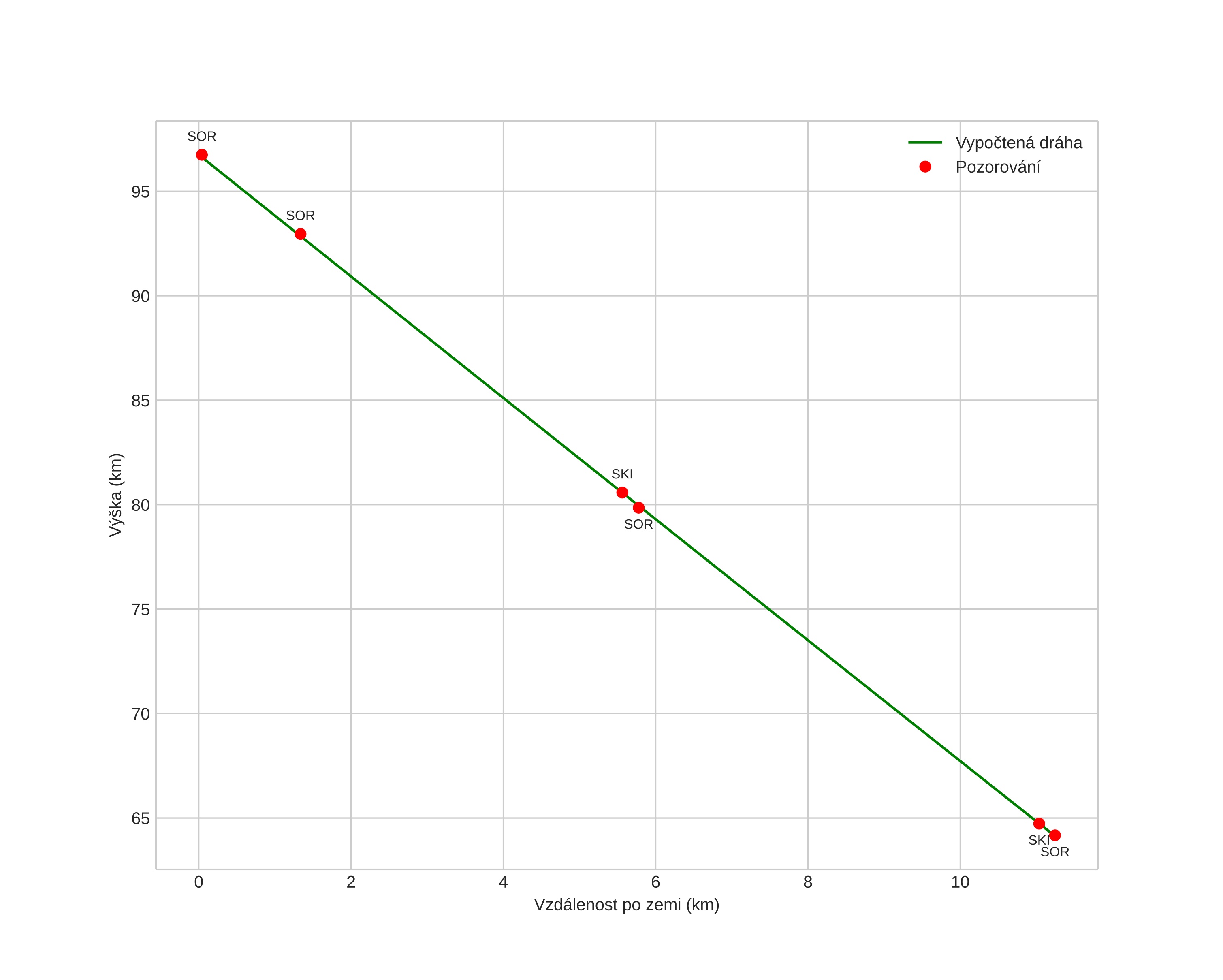
height profile
Atmosférická dráha meteoru:
Počáteční výška: 97,0 km
Konečná výška: 64,7 km
Počáteční poloha: 69,034N 18,219E
Konečná poloha: 69,133N 18,268E
Směr: 10,0°
Sklon: 70,9°
VstupnĂ­ rychlost: 25,0 km/s
Rektascenze radiantu: 21:53 (328,3°)
Deklinace radiantu: 48,8°
MeteorickĂ˝ roj: sporadickĂ˝
Elementy dráhy meteoroidu:
Vzdálenost v periheliu: 0,890 AU
Excentricita: 0,827
Sklon dráhy: 29,2°
Délka vzestupného uzlu: 193,7°
Argument perihelia: 220,7°
Střední anomálie: 357,7°
Epocha: 2024 OCT 06 20:01:07
orbit plot

NeinteraktivnĂ­ graf | InteraktivnĂ­ graf

position vs time
speed and acceleration