🇳🇴 🇬🇧 🇩🇪 🇨🇿 🇫🇮

Meteor, poloha: Finnsnes 2024-10-06 20:05:38 UTC

Soubor KML  |  InteraktivnĂ­ mapa

Mapa zobrazuje dráhy meteoru. Světlejší čáry ukazují směry od pozorovacích stanic při objevení se meteoru a tmavší čáry, kde byl naposledy viděn. Modrá šipka značí viditelnou dráhu meteoru.

static map
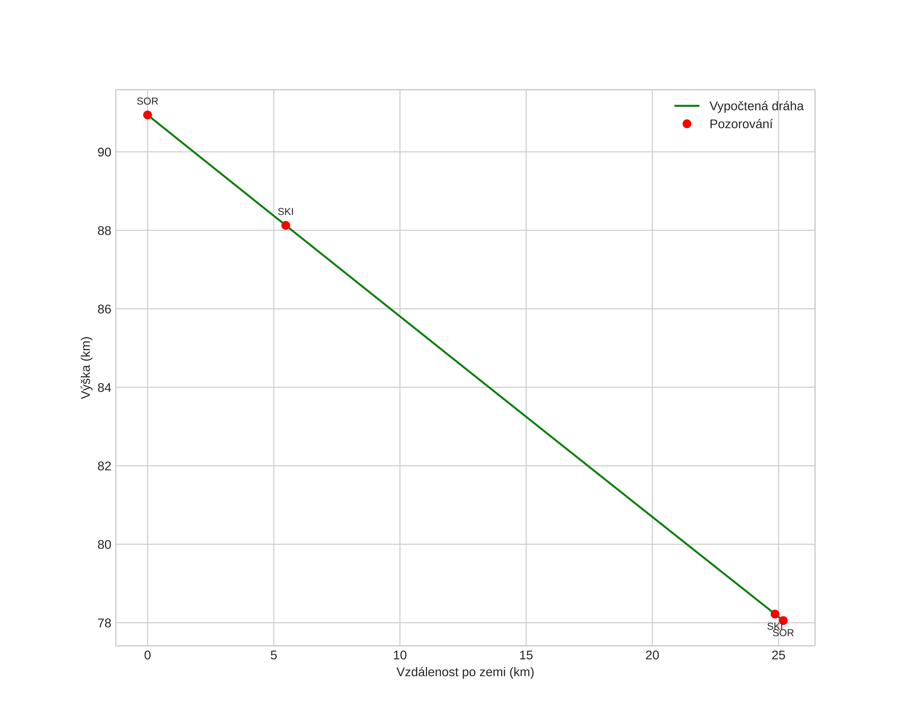
height profile
Atmosférická dráha meteoru:
Počáteční výška: 90,7 km
Konečná výška: 78,0 km
Počáteční poloha: 71,195N 17,906E
Konečná poloha: 71,386N 17,494E
Směr: 325,5°
Sklon: 26,2°
VstupnĂ­ rychlost: 26,5 km/s
Rektascenze radiantu: 00:25 (6,3°)
Deklinace radiantu: 6,8°
MeteorickĂ˝ roj: sporadickĂ˝
Elementy dráhy meteoroidu:
Vzdálenost v periheliu: 0,611 AU
Excentricita: 0,891
Sklon dráhy: 2,8°
Délka vzestupného uzlu: 193,7°
Argument perihelia: 260,0°
Střední anomálie: 357,0°
Epocha: 2024 OCT 06 20:05:38
orbit plot

NeinteraktivnĂ­ graf | InteraktivnĂ­ graf

position vs time
speed and acceleration