🇳🇴 🇬🇧 🇩🇪 🇨🇿 🇫🇮

Meteor, poloha: Masfjorden 2024-10-12 01:36:15 UTC

Soubor KML  |  InteraktivnĂ­ mapa

Mapa zobrazuje dráhy meteoru. Světlejší čáry ukazují směry od pozorovacích stanic při objevení se meteoru a tmavší čáry, kde byl naposledy viděn. Modrá šipka značí viditelnou dráhu meteoru.

static map
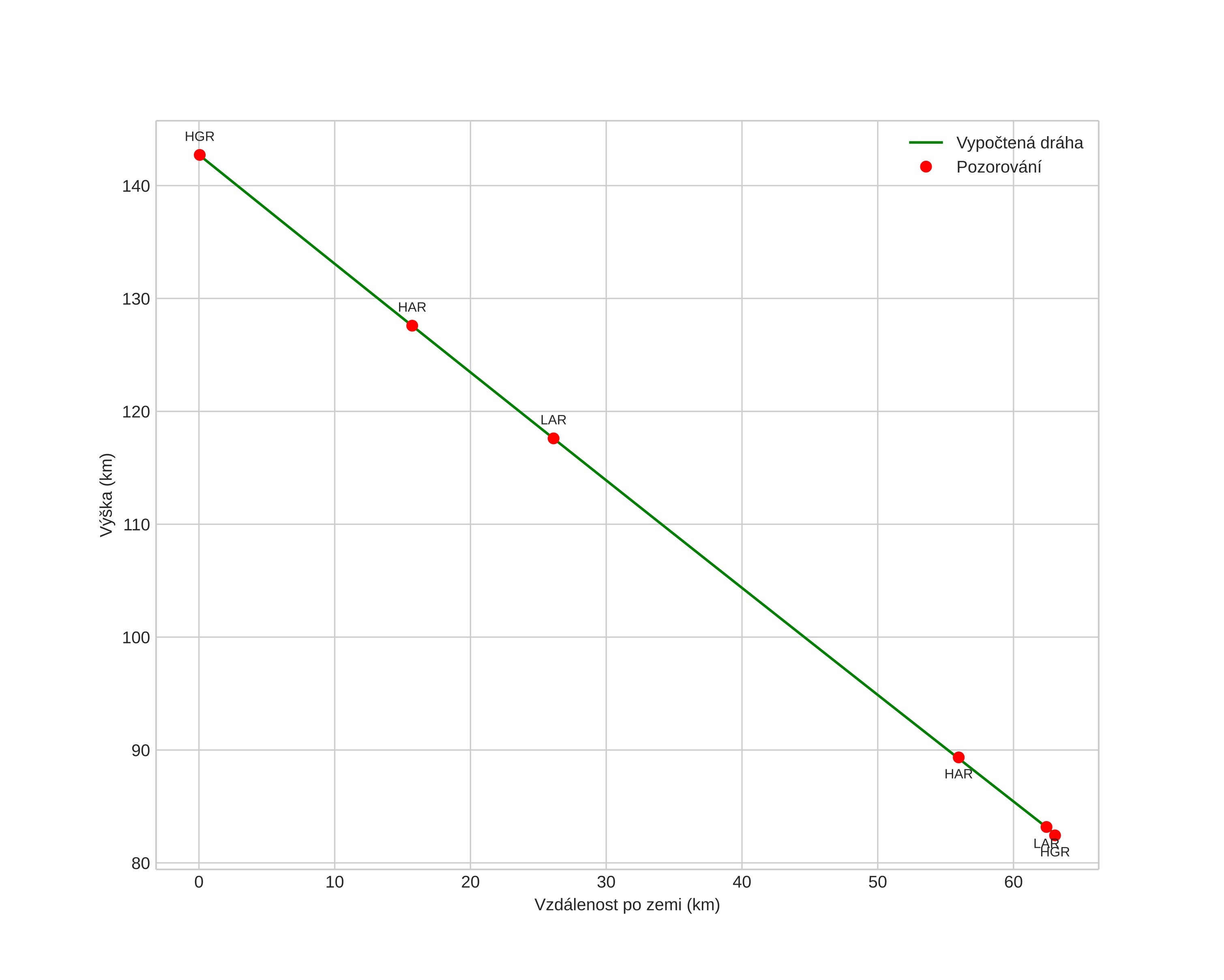
height profile
Atmosférická dráha meteoru:
Počáteční výška: 142,8 km
Konečná výška: 82,5 km
Počáteční poloha: 60,724N 6,515E
Konečná poloha: 60,951N 5,450E
Směr: 294,1°
Sklon: 43,7°
VstupnĂ­ rychlost: 59,7 km/s
Rektascenze radiantu: 06:36 (99,2°)
Deklinace radiantu: 27,0°
MeteorickĂ˝ roj: sporadickĂ˝
Elementy dráhy meteoroidu:
Vzdálenost v periheliu: 0,630 AU
Excentricita: 0,378
Sklon dráhy: 172,0°
Délka vzestupného uzlu: 198,9°
Argument perihelia: 290,2°
Střední anomálie: 293,9°
Epocha: 2024 OCT 12 01:36:15
orbit plot

NeinteraktivnĂ­ graf | InteraktivnĂ­ graf

position vs time
speed and acceleration