🇳🇴 🇬🇧 🇩🇪 🇨🇿 🇫🇮

Meteor, poloha: Ă…mot 2024-10-14 18:09:52 UTC

Soubor KML  |  InteraktivnĂ­ mapa

Mapa zobrazuje dráhy meteoru. Světlejší čáry ukazují směry od pozorovacích stanic při objevení se meteoru a tmavší čáry, kde byl naposledy viděn. Modrá šipka značí viditelnou dráhu meteoru.

static map
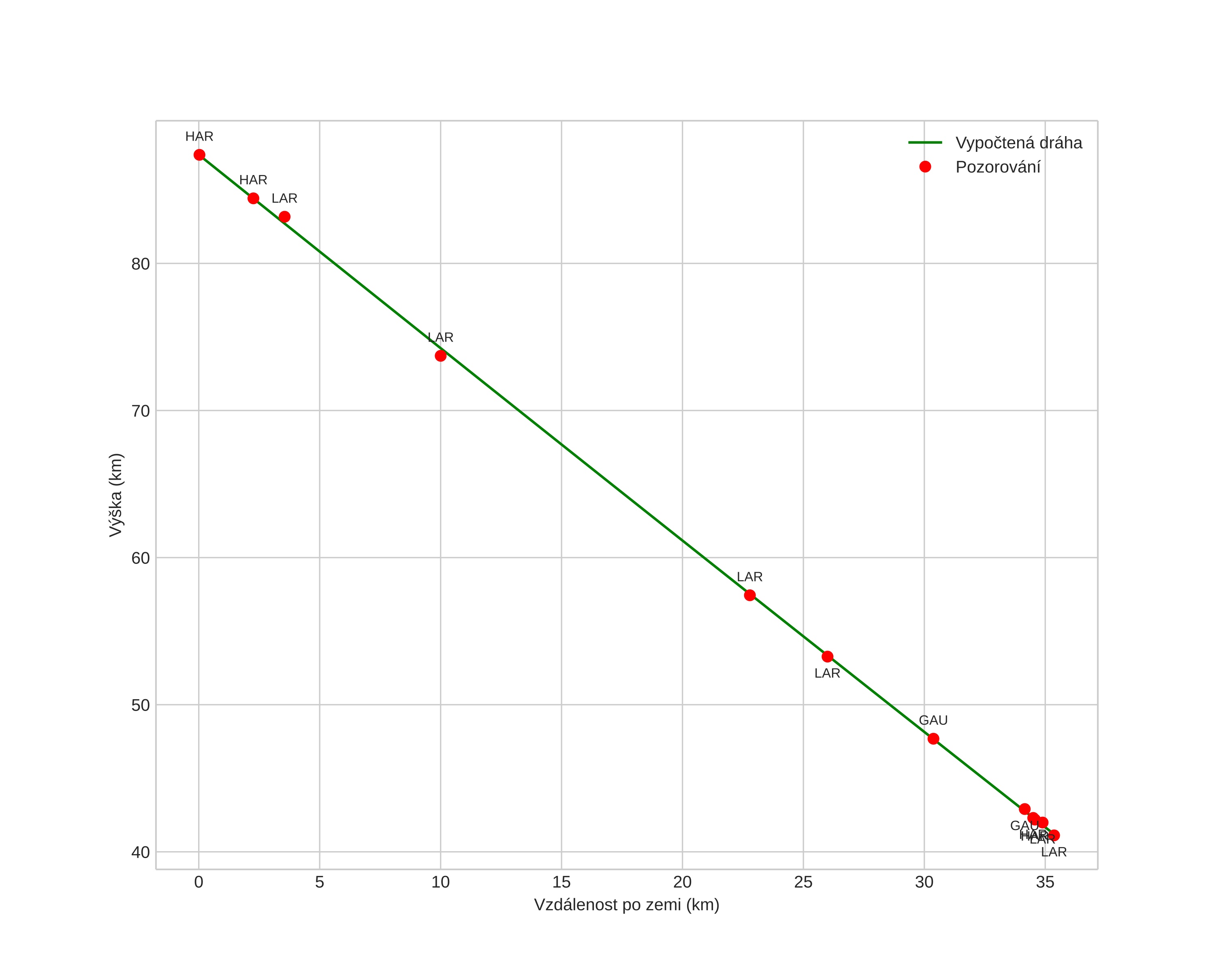
height profile
Atmosférická dráha meteoru:
Počáteční výška: 87,2 km
Konečná výška: 40,2 km
Počáteční poloha: 59,547N 7,457E
Konečná poloha: 59,620N 8,070E
Směr: 76,4°
Sklon: 52,9°
VstupnĂ­ rychlost: 20,7 km/s
Rektascenze radiantu: 16:49 (252,4°)
Deklinace radiantu: 35,1°
MeteorickĂ˝ roj: sporadickĂ˝
Elementy dráhy meteoroidu:
Vzdálenost v periheliu: 0,965 AU
Excentricita: 0,781
Sklon dráhy: 22,2°
Délka vzestupného uzlu: 201,5°
Argument perihelia: 157,8°
Střední anomálie: 1,7°
Epocha: 2024 OCT 14 18:09:52
orbit plot

NeinteraktivnĂ­ graf | InteraktivnĂ­ graf

position vs time
speed and acceleration