🇳🇴 🇬🇧 🇩🇪 🇨🇿 🇫🇮

Meteor, poloha: Hovden 2024-10-15 00:00:00 UTC

Soubor KML  |  InteraktivnĂ­ mapa

Mapa zobrazuje dráhy meteoru. Světlejší čáry ukazují směry od pozorovacích stanic při objevení se meteoru a tmavší čáry, kde byl naposledy viděn. Modrá šipka značí viditelnou dráhu meteoru.

static map
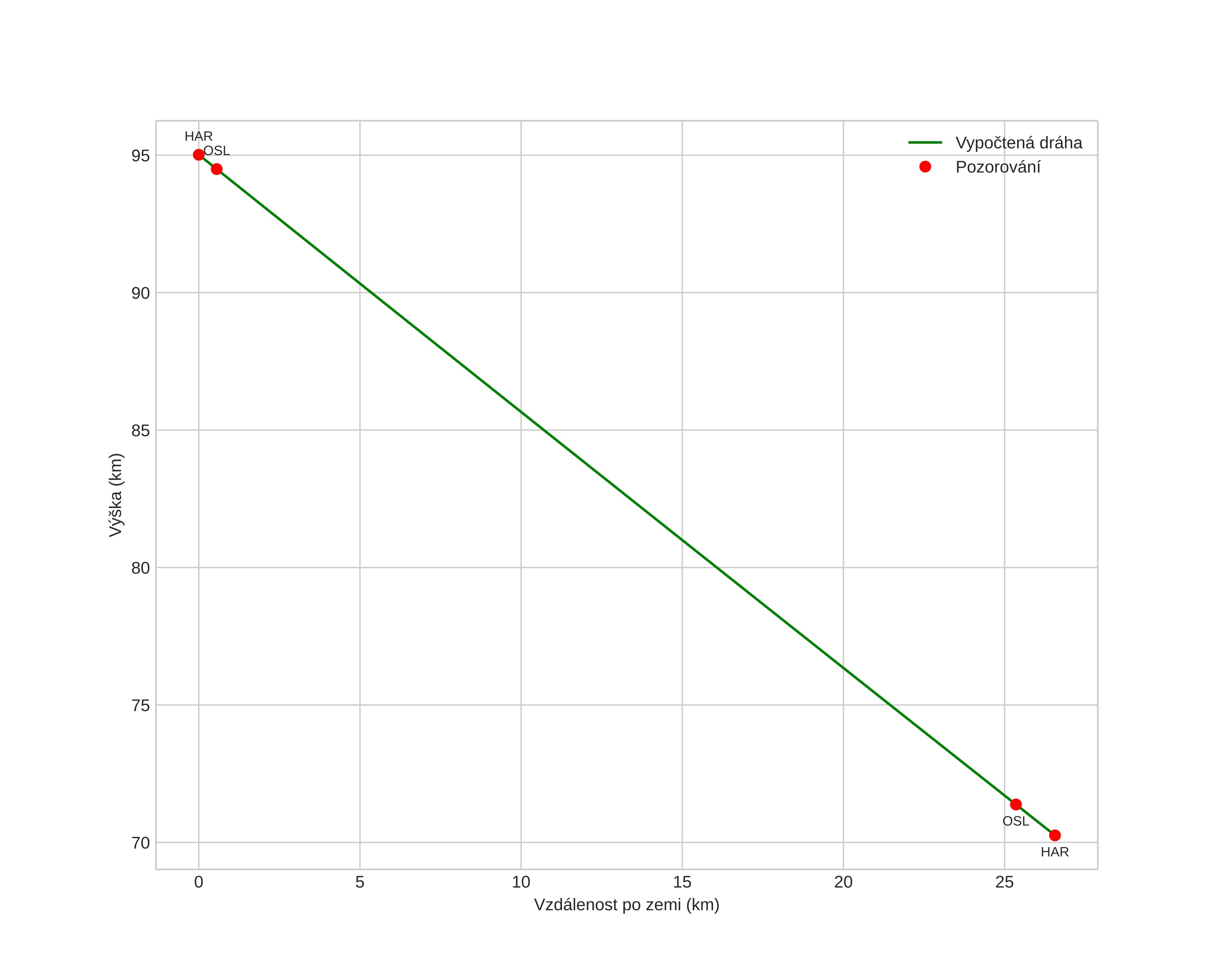
height profile
Atmosférická dráha meteoru:
Počáteční výška: 95,5 km
Konečná výška: 70,8 km
Počáteční poloha: 59,630N 7,261E
Konečná poloha: 59,874N 7,235E
Směr: 356,9°
Sklon: 42,2°
VstupnĂ­ rychlost: 32,4 km/s
Rektascenze radiantu: 02:11 (32,8°)
Deklinace radiantu: 10,1°
MeteorickĂ˝ roj: JiĹľnĂ­ Tauridy
Elementy dráhy meteoroidu:
Vzdálenost v periheliu: 0,327 AU
Excentricita: 0,883
Sklon dráhy: 3,8°
Délka vzestupného uzlu: 21,8°
Argument perihelia: 115,6°
Střední anomálie: 351,4°
Epocha: 2024 OCT 15 00:00:00
orbit plot

NeinteraktivnĂ­ graf | InteraktivnĂ­ graf

position vs time
speed and acceleration