🇳🇴 🇬🇧 🇩🇪 🇨🇿 🇫🇮

Meteor, poloha: Rødberg 2024-10-15 17:40:07 UTC

Soubor KML  |  InteraktivnĂ­ mapa

Mapa zobrazuje dráhy meteoru. Světlejší čáry ukazují směry od pozorovacích stanic při objevení se meteoru a tmavší čáry, kde byl naposledy viděn. Modrá šipka značí viditelnou dráhu meteoru.

static map
height profile
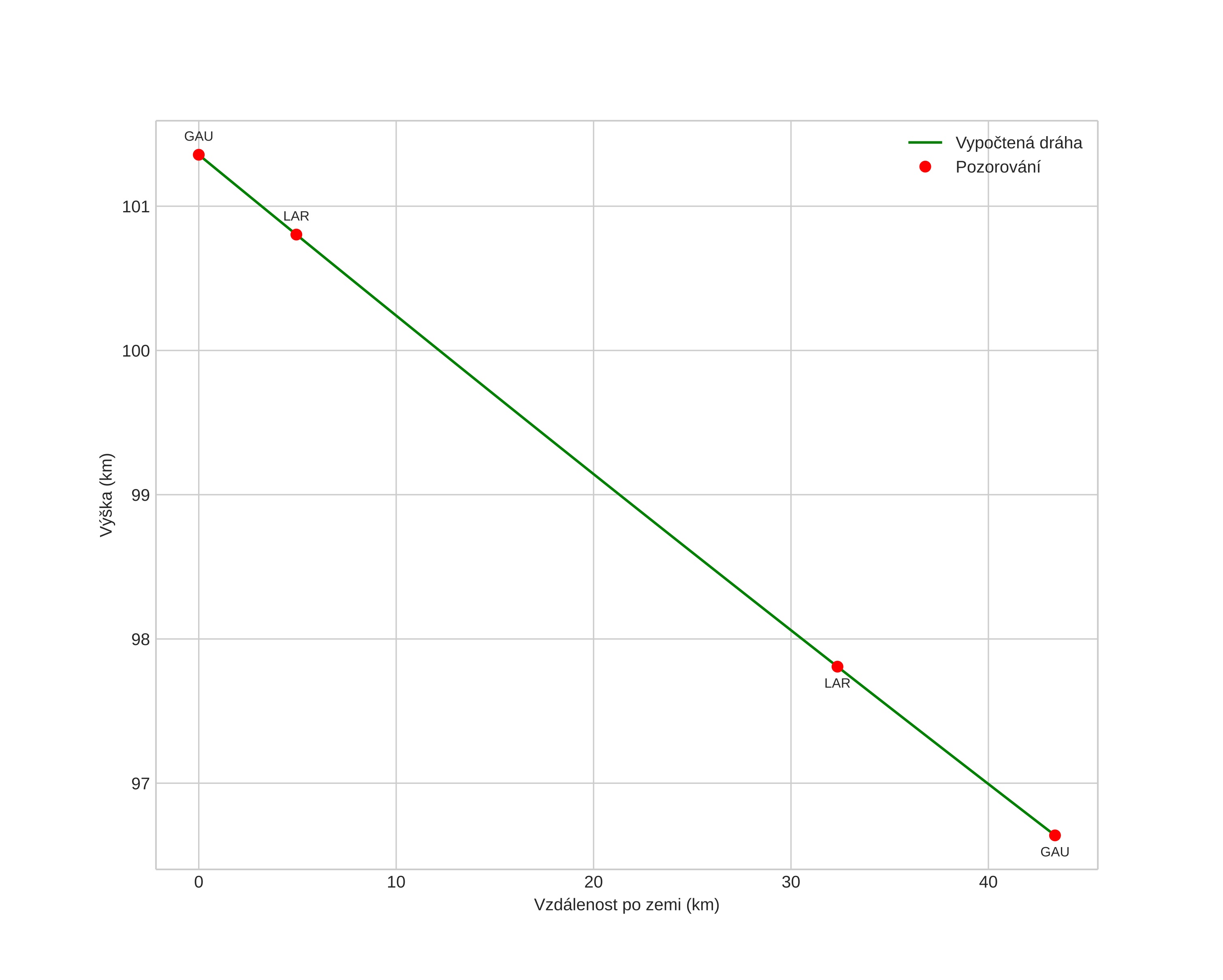
Atmosférická dráha meteoru:
Počáteční výška: 101,4 km
Konečná výška: 96,6 km
Počáteční poloha: 60,803N 9,281E
Konečná poloha: 60,458N 8,911E
Směr: 207,9°
Sklon: 6,3°
VstupnĂ­ rychlost: 65,6 km/s
Rektascenze radiantu: 05:43 (85,9°)
Deklinace radiantu: 30,9°
MeteorickĂ˝ roj: sporadickĂ˝
Elementy dráhy meteoroidu:
Vzdálenost v periheliu: 0,483 AU
Excentricita: 0,932
Sklon dráhy: 162,9°
Délka vzestupného uzlu: 202,5°
Argument perihelia: 273,9°
Střední anomálie: 357,9°
Epocha: 2024 OCT 15 17:40:07
orbit plot

NeinteraktivnĂ­ graf | InteraktivnĂ­ graf

position vs time
speed and acceleration