🇳🇴 🇬🇧 🇩🇪 🇨🇿 🇫🇮

Meteor, poloha: Hovden 2024-10-15 22:35:05 UTC

Soubor KML  |  InteraktivnĂ­ mapa

Mapa zobrazuje dráhy meteoru. Světlejší čáry ukazují směry od pozorovacích stanic při objevení se meteoru a tmavší čáry, kde byl naposledy viděn. Modrá šipka značí viditelnou dráhu meteoru.

static map
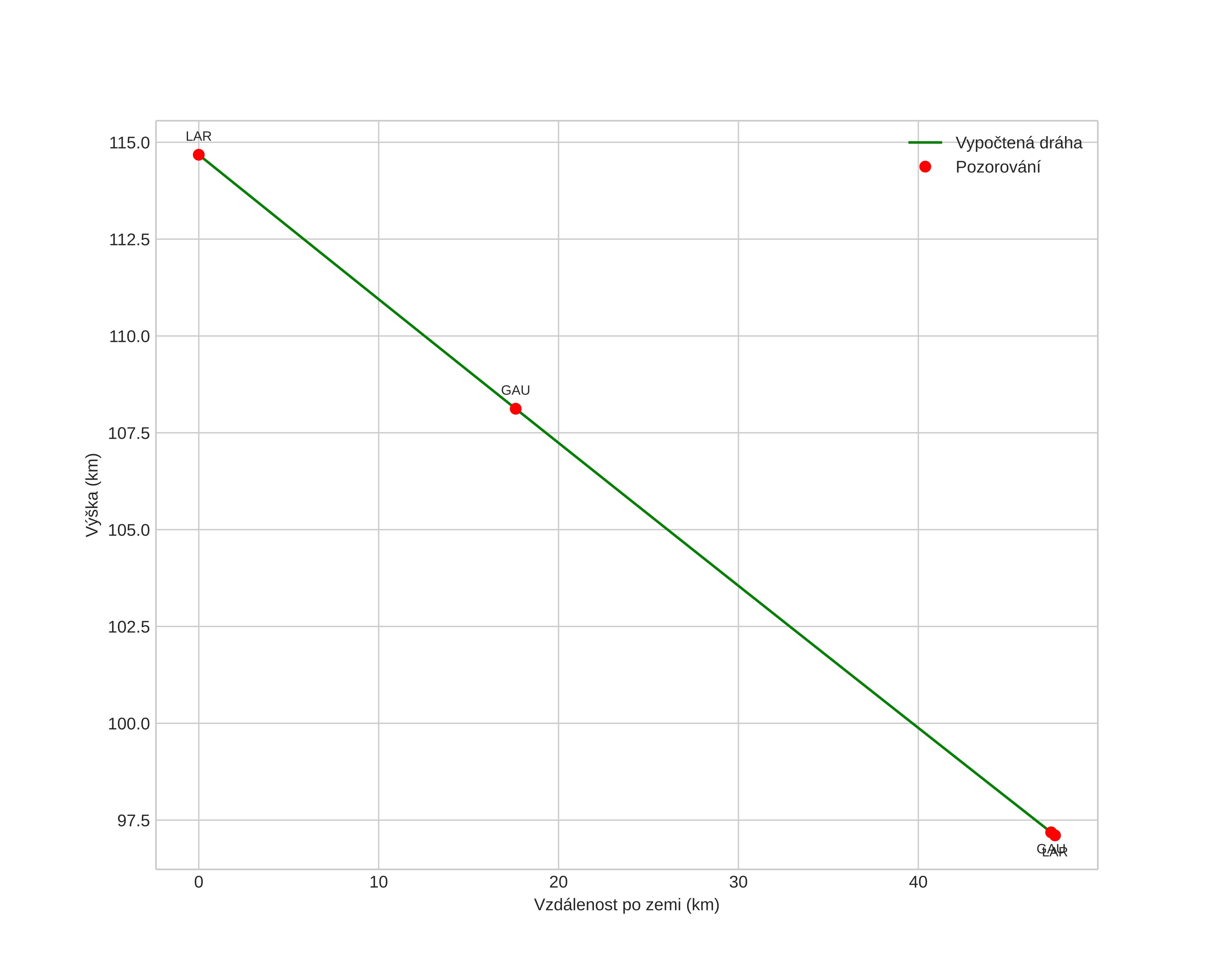
height profile
Atmosférická dráha meteoru:
Počáteční výška: 112,9 km
Konečná výška: 97,9 km
Počáteční poloha: 59,869N 8,382E
Konečná poloha: 59,889N 7,633E
Směr: 273,4°
Sklon: 19,7°
VstupnĂ­ rychlost: 67,3 km/s
Rektascenze radiantu: 05:55 (88,8°)
Deklinace radiantu: 14,8°
MeteorickĂ˝ roj: Orionidy
Elementy dráhy meteoroidu:
Vzdálenost v periheliu: 0,567 AU
Excentricita: 0,961
Sklon dráhy: 161,7°
Délka vzestupného uzlu: 22,7°
Argument perihelia: 83,1°
Střední anomálie: 359,3°
Epocha: 2024 OCT 15 22:35:05
orbit plot

NeinteraktivnĂ­ graf | InteraktivnĂ­ graf

position vs time
speed and acceleration