🇳🇴 🇬🇧 🇩🇪 🇨🇿 🇫🇮

Meteor, poloha: Kongsberg 2024-10-15 22:44:11 UTC

Soubor KML  |  Interaktivní mapa

Mapa zobrazuje dráhy meteoru. Světlejší čáry ukazují směry od pozorovacích stanic při objevení se meteoru a tmavší čáry, kde byl naposledy viděn. Modrá šipka značí viditelnou dráhu meteoru.

static map
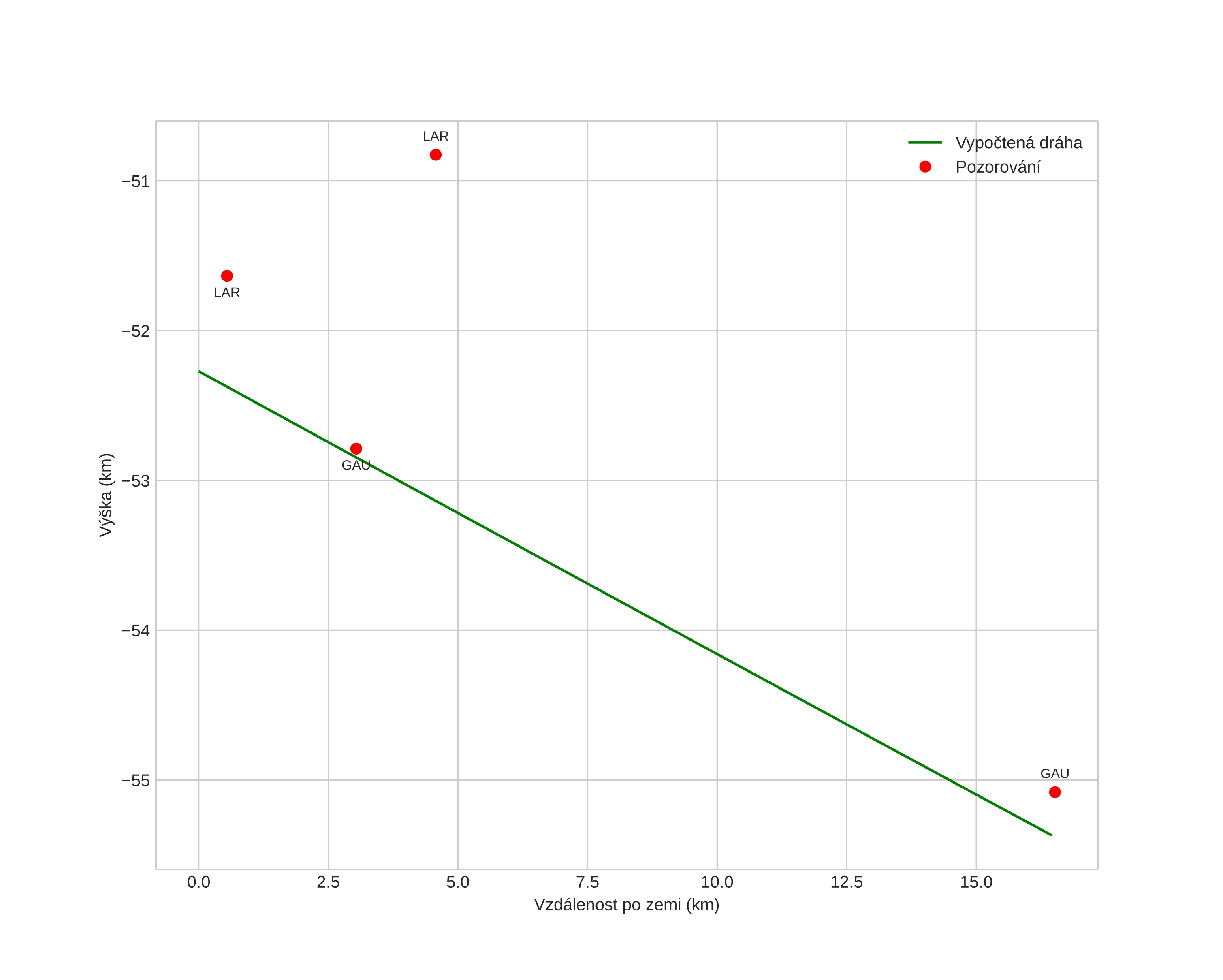
height profile
Atmosférická dráha meteoru:
Počáteční výška: -51,5 km
Konečná výška: -55,2 km
Počáteční poloha: 59,672N 9,959E
Konečná poloha: 59,627N 9,705E
Směr: 251,1°
Sklon: 13,8°
orbit plot
position vs time
speed and acceleration

Larvik (LAR) cam3

gnomonic
Videa
Původní
Obrázky
Původní
Textové soubory
Detekce
Pozorování
Souřadnice
Protokol
Jasnost