🇳🇴 🇬🇧 🇩🇪 🇨🇿 🇫🇮

Meteor, poloha: Sand 2024-10-16 03:13:16 UTC

Soubor KML  |  InteraktivnĂ­ mapa

Mapa zobrazuje dráhy meteoru. Světlejší čáry ukazují směry od pozorovacích stanic při objevení se meteoru a tmavší čáry, kde byl naposledy viděn. Modrá šipka značí viditelnou dráhu meteoru.

static map
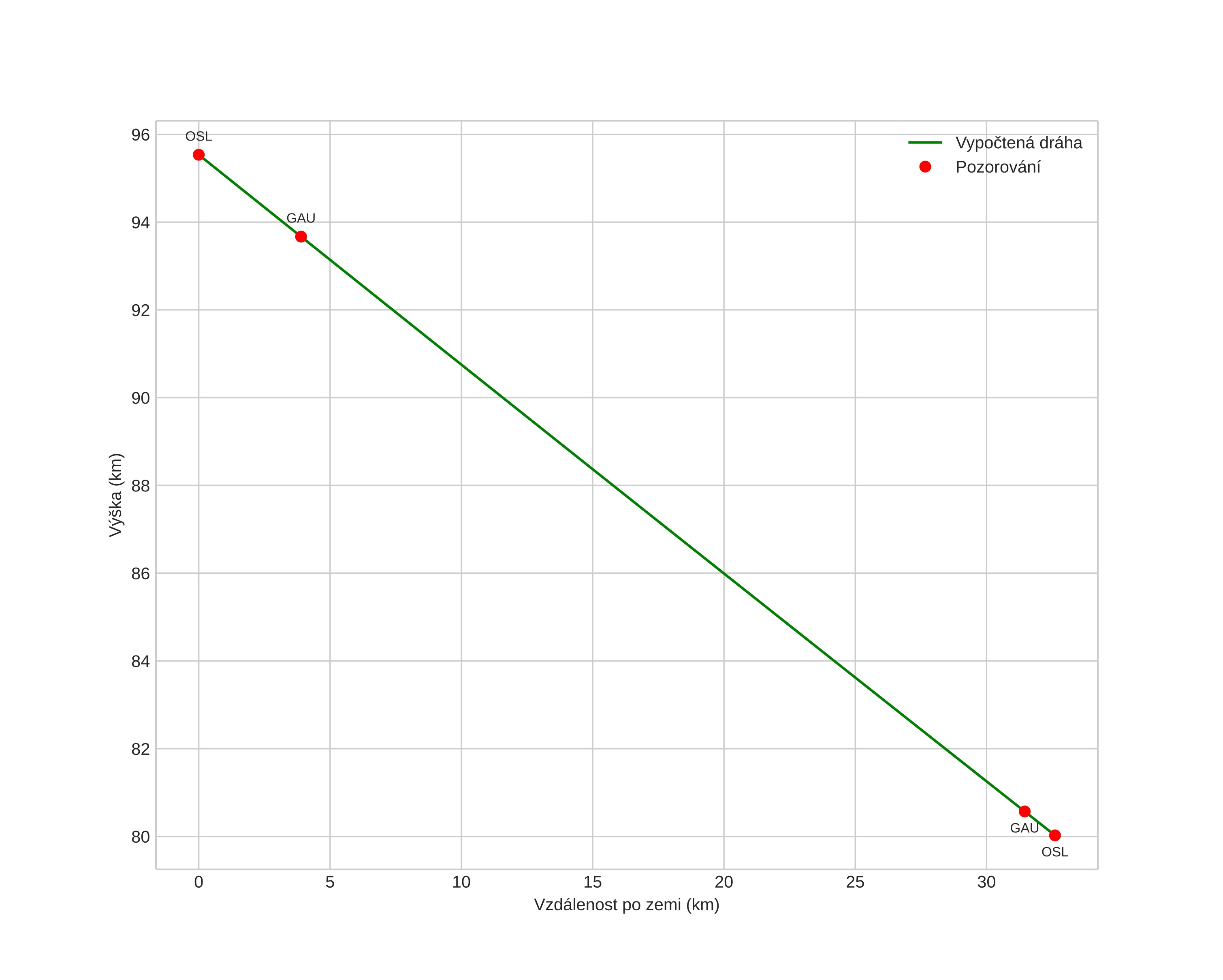
height profile
Atmosférická dráha meteoru:
Počáteční výška: 95,5 km
Konečná výška: 80,2 km
Počáteční poloha: 60,577N 11,416E
Konečná poloha: 60,296N 11,575E
Směr: 164,4°
Sklon: 25,2°
VstupnĂ­ rychlost: 21,3 km/s
Rektascenze radiantu: 19:10 (287,6°)
Deklinace radiantu: 47,2°
MeteorickĂ˝ roj: sporadickĂ˝
Elementy dráhy meteoroidu:
Vzdálenost v periheliu: 0,995 AU
Excentricita: 0,814
Sklon dráhy: 25,0°
Délka vzestupného uzlu: 202,9°
Argument perihelia: 185,7°
Střední anomálie: 359,7°
Epocha: 2024 OCT 16 03:13:16
orbit plot

NeinteraktivnĂ­ graf | InteraktivnĂ­ graf

position vs time
speed and acceleration