🇳🇴 🇬🇧 🇩🇪 🇨🇿 🇫🇮

Meteor, poloha: Lødingen 2024-10-21 17:20:20 UTC

Soubor KML  |  InteraktivnĂ­ mapa

Mapa zobrazuje dráhy meteoru. Světlejší čáry ukazují směry od pozorovacích stanic při objevení se meteoru a tmavší čáry, kde byl naposledy viděn. Modrá šipka značí viditelnou dráhu meteoru.

static map
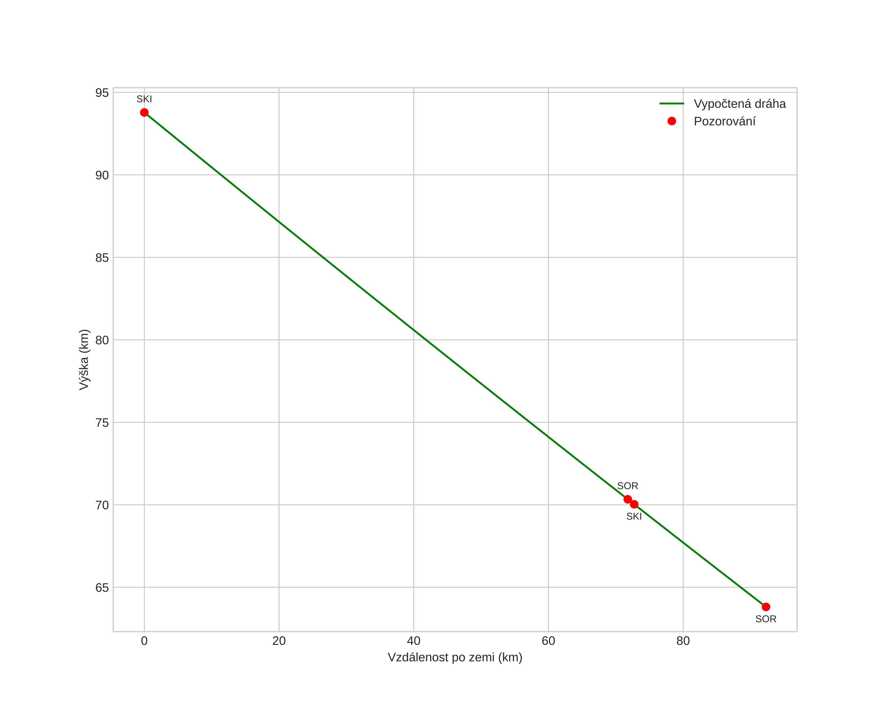
height profile
Atmosférická dráha meteoru:
Počáteční výška: 92,9 km
Konečná výška: 58,4 km
Počáteční poloha: 68,294N 18,360E
Konečná poloha: 68,200N 16,320E
Směr: 263,8°
Sklon: 22,2°
VstupnĂ­ rychlost: 28,1 km/s
Rektascenze radiantu: 02:28 (37,1°)
Deklinace radiantu: 19,8°
MeteorickĂ˝ roj: SevernĂ­ Tauridy
Elementy dráhy meteoroidu:
Vzdálenost v periheliu: 0,376 AU
Excentricita: 0,770
Sklon dráhy: 5,1°
Délka vzestupného uzlu: 208,4°
Argument perihelia: 295,5°
Střední anomálie: 338,5°
Epocha: 2024 OCT 21 17:20:20
orbit plot

NeinteraktivnĂ­ graf | InteraktivnĂ­ graf

position vs time
speed and acceleration