🇳🇴 🇬🇧 🇩🇪 🇨🇿 🇫🇮

Meteor, poloha: Slidre 2024-10-21 23:21:35 UTC

Soubor KML  |  InteraktivnĂ­ mapa

Mapa zobrazuje dráhy meteoru. Světlejší čáry ukazují směry od pozorovacích stanic při objevení se meteoru a tmavší čáry, kde byl naposledy viděn. Modrá šipka značí viditelnou dráhu meteoru.

static map
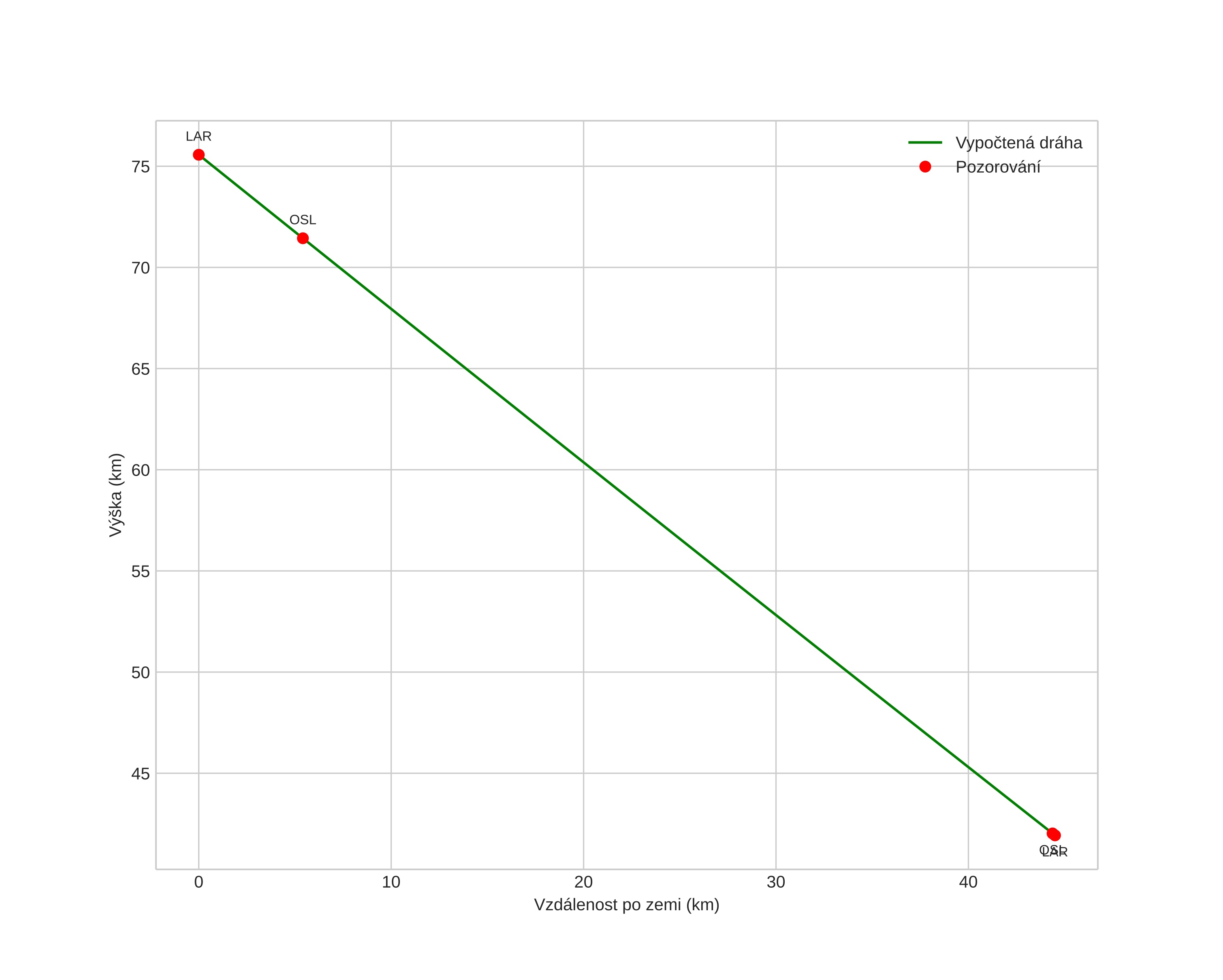
height profile
Atmosférická dráha meteoru:
Počáteční výška: 79,8 km
Konečná výška: 41,8 km
Počáteční poloha: 61,403N 8,388E
Konečná poloha: 61,050N 8,992E
Směr: 140,3°
Sklon: 36,7°
VstupnĂ­ rychlost: 21,3 km/s
Rektascenze radiantu: 17:58 (269,7°)
Deklinace radiantu: 50,8°
MeteorickĂ˝ roj: sporadickĂ˝
Elementy dráhy meteoroidu:
Vzdálenost v periheliu: 0,992 AU
Excentricita: 0,672
Sklon dráhy: 27,3°
Délka vzestupného uzlu: 208,7°
Argument perihelia: 172,7°
Střední anomálie: 1,1°
Epocha: 2024 OCT 21 23:21:35
orbit plot

NeinteraktivnĂ­ graf | InteraktivnĂ­ graf

position vs time
speed and acceleration