🇳🇴 🇬🇧 🇩🇪 🇨🇿 🇫🇮

Meteor, poloha: Kongsberg 2024-10-22 01:48:18 UTC

Soubor KML  |  InteraktivnĂ­ mapa

Mapa zobrazuje dráhy meteoru. Světlejší čáry ukazují směry od pozorovacích stanic při objevení se meteoru a tmavší čáry, kde byl naposledy viděn. Modrá šipka značí viditelnou dráhu meteoru.

static map
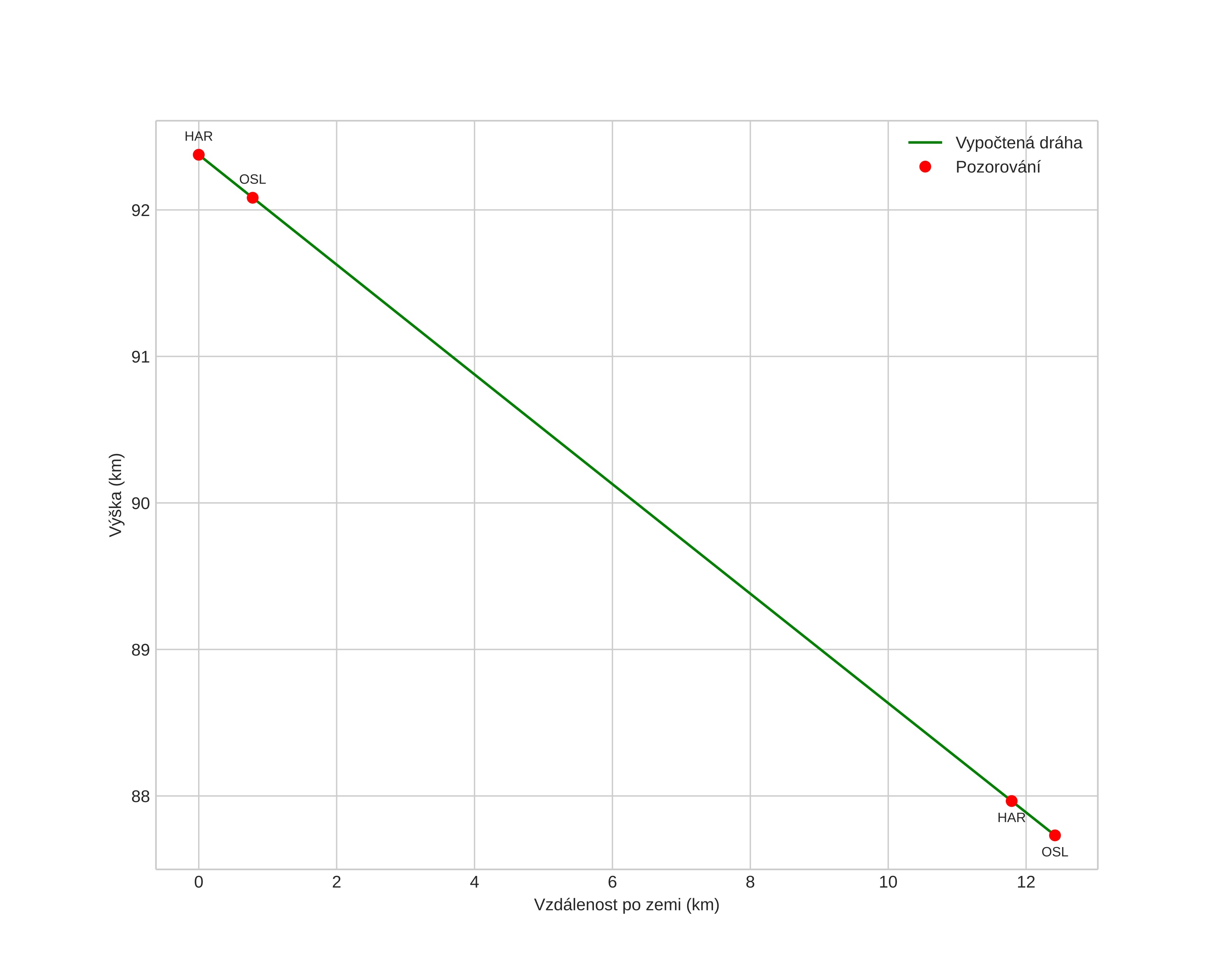
height profile
Atmosférická dráha meteoru:
Počáteční výška: 100,8 km
Konečná výška: 85,4 km
Počáteční poloha: 59,618N 9,516E
Konečná poloha: 59,549N 9,602E
Směr: 147,9°
Sklon: 59,3°
VstupnĂ­ rychlost: 37,3 km/s
Rektascenze radiantu: 23:11 (347,8°)
Deklinace radiantu: 73,1°
MeteorickĂ˝ roj: sporadickĂ˝
Elementy dráhy meteoroidu:
Vzdálenost v periheliu: 0,881 AU
Excentricita: 1,087
Sklon dráhy: 52,6°
Délka vzestupného uzlu: 208,8°
Argument perihelia: 218,7°
Střední anomálie: -0,8°
Epocha: 2024 OCT 22 01:48:18
orbit plot

NeinteraktivnĂ­ graf | InteraktivnĂ­ graf

position vs time
speed and acceleration