🇳🇴 🇬🇧 🇩🇪 🇨🇿 🇫🇮

Meteor, poloha: Vang 2024-10-27 22:12:18 UTC

Soubor KML  |  InteraktivnĂ­ mapa

Mapa zobrazuje dráhy meteoru. Světlejší čáry ukazují směry od pozorovacích stanic při objevení se meteoru a tmavší čáry, kde byl naposledy viděn. Modrá šipka značí viditelnou dráhu meteoru.

static map
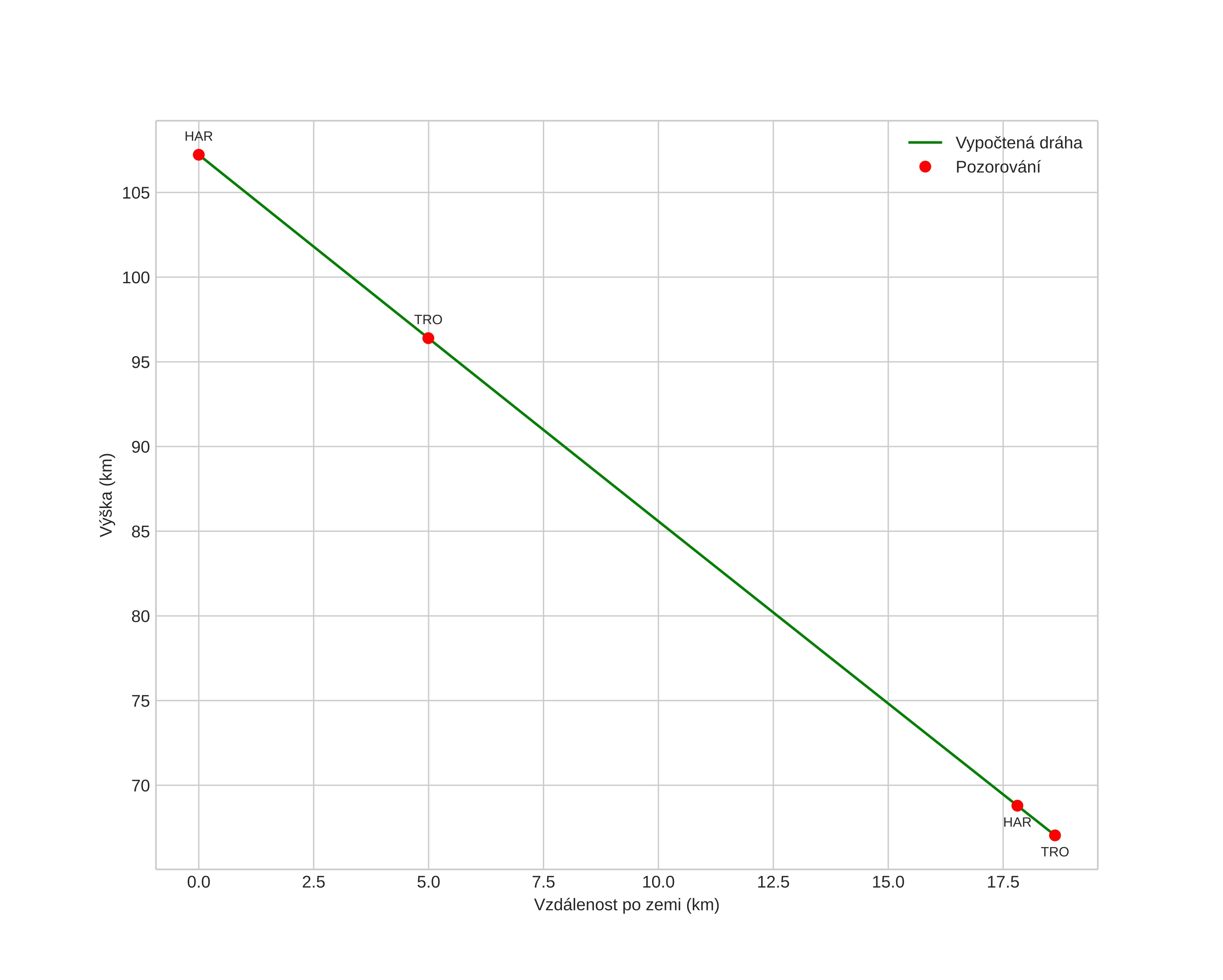
height profile
Atmosférická dráha meteoru:
Počáteční výška: 107,9 km
Konečná výška: 69,0 km
Počáteční poloha: 61,486N 8,514E
Konečná poloha: 61,326N 8,485E
Směr: 185,0°
Sklon: 65,3°
VstupnĂ­ rychlost: 42,7 km/s
Rektascenze radiantu: 02:52 (43,2°)
Deklinace radiantu: 85,8°
MeteorickĂ˝ roj: sporadickĂ˝
Elementy dráhy meteoroidu:
Vzdálenost v periheliu: 0,905 AU
Excentricita: 1,001
Sklon dráhy: 66,3°
Délka vzestupného uzlu: 214,6°
Argument perihelia: 214,7°
Střední anomálie: -0,0°
Epocha: 2024 OCT 27 22:12:18
orbit plot

NeinteraktivnĂ­ graf | InteraktivnĂ­ graf

position vs time
speed and acceleration