🇳🇴 🇬🇧 🇩🇪 🇨🇿 🇫🇮

Meteor, poloha: Hov 2024-10-28 01:44:57 UTC

Soubor KML  |  InteraktivnĂ­ mapa

Mapa zobrazuje dráhy meteoru. Světlejší čáry ukazují směry od pozorovacích stanic při objevení se meteoru a tmavší čáry, kde byl naposledy viděn. Modrá šipka značí viditelnou dráhu meteoru.

static map
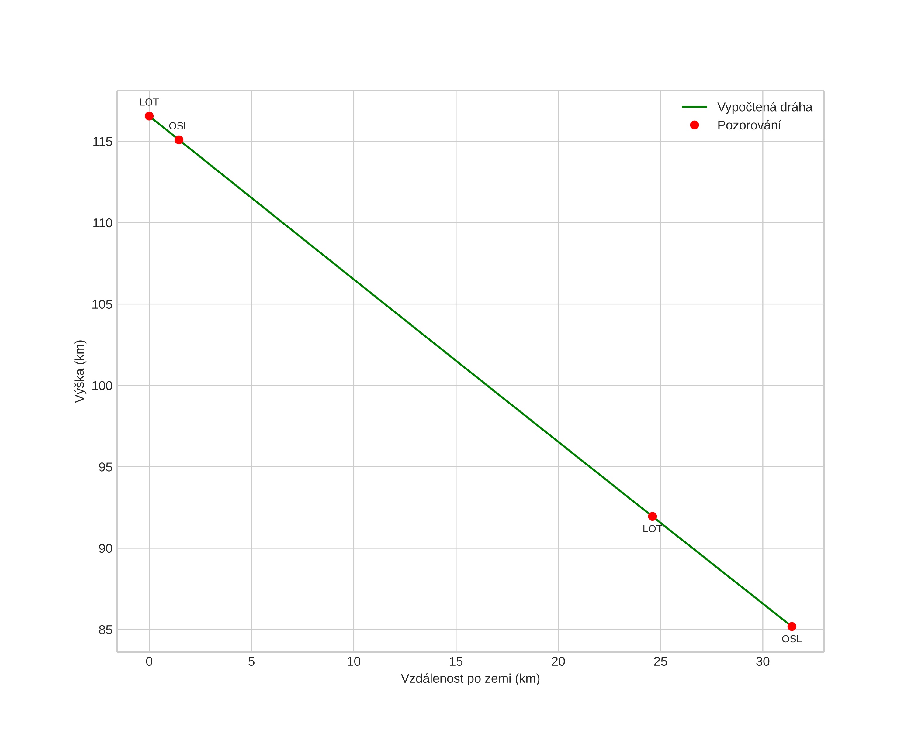
height profile
Atmosférická dráha meteoru:
Počáteční výška: 116,5 km
Konečná výška: 85,2 km
Počáteční poloha: 60,896N 10,904E
Konečná poloha: 60,772N 10,385E
Směr: 244,0°
Sklon: 44,9°
VstupnĂ­ rychlost: 62,1 km/s
Rektascenze radiantu: 10:29 (157,4°)
Deklinace radiantu: 50,1°
MeteorickĂ˝ roj: sporadickĂ˝
Elementy dráhy meteoroidu:
Vzdálenost v periheliu: 0,930 AU
Excentricita: 0,989
Sklon dráhy: 115,0°
Délka vzestupného uzlu: 214,8°
Argument perihelia: 150,5°
Střední anomálie: 0,0°
Epocha: 2024 OCT 28 01:44:57
orbit plot

NeinteraktivnĂ­ graf | InteraktivnĂ­ graf

position vs time
speed and acceleration