🇳🇴 🇬🇧 🇩🇪 🇨🇿 🇫🇮

Meteor, poloha: Langesund 2024-10-28 18:11:57 UTC

Soubor KML  |  InteraktivnĂ­ mapa

Mapa zobrazuje dráhy meteoru. Světlejší čáry ukazují směry od pozorovacích stanic při objevení se meteoru a tmavší čáry, kde byl naposledy viděn. Modrá šipka značí viditelnou dráhu meteoru.

static map
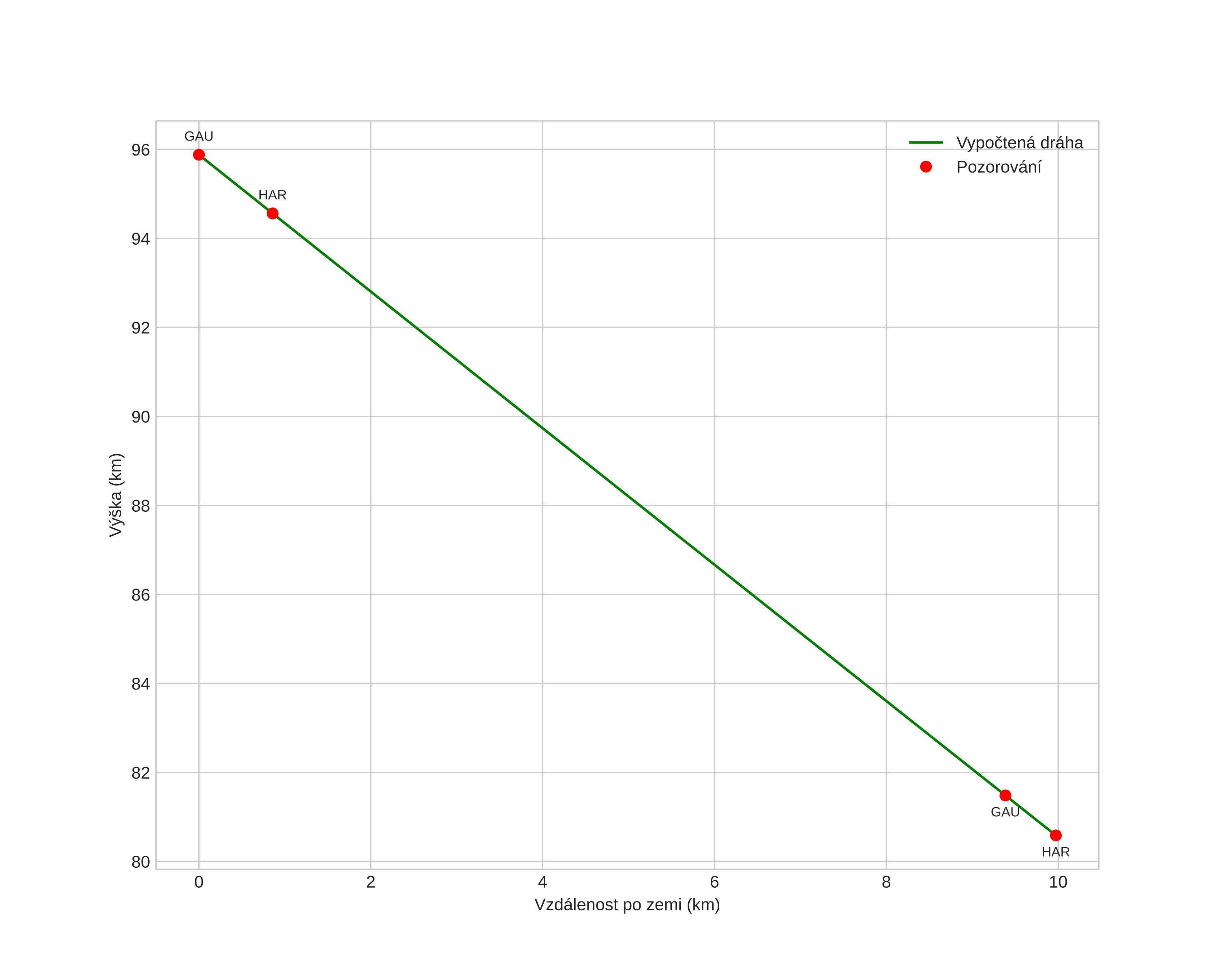
height profile
Atmosférická dráha meteoru:
Počáteční výška: 96,7 km
Konečná výška: 80,6 km
Počáteční poloha: 58,977N 9,566E
Konečná poloha: 58,943N 9,736E
Směr: 111,2°
Sklon: 56,9°
VstupnĂ­ rychlost: 29,8 km/s
Rektascenze radiantu: 17:00 (255,2°)
Deklinace radiantu: 53,9°
MeteorickĂ˝ roj: sporadickĂ˝
Elementy dráhy meteoroidu:
Vzdálenost v periheliu: 0,972 AU
Excentricita: 1,010
Sklon dráhy: 40,0°
Délka vzestupného uzlu: 215,5°
Argument perihelia: 163,2°
Střední anomálie: 0,0°
Epocha: 2024 OCT 28 18:11:57
orbit plot

NeinteraktivnĂ­ graf | InteraktivnĂ­ graf

position vs time
speed and acceleration