🇳🇴 🇬🇧 🇩🇪 🇨🇿 🇫🇮

Meteor, poloha: Søgne 2024-10-28 20:51:26 UTC

Soubor KML  |  InteraktivnĂ­ mapa

Mapa zobrazuje dráhy meteoru. Světlejší čáry ukazují směry od pozorovacích stanic při objevení se meteoru a tmavší čáry, kde byl naposledy viděn. Modrá šipka značí viditelnou dráhu meteoru.

static map
height profile
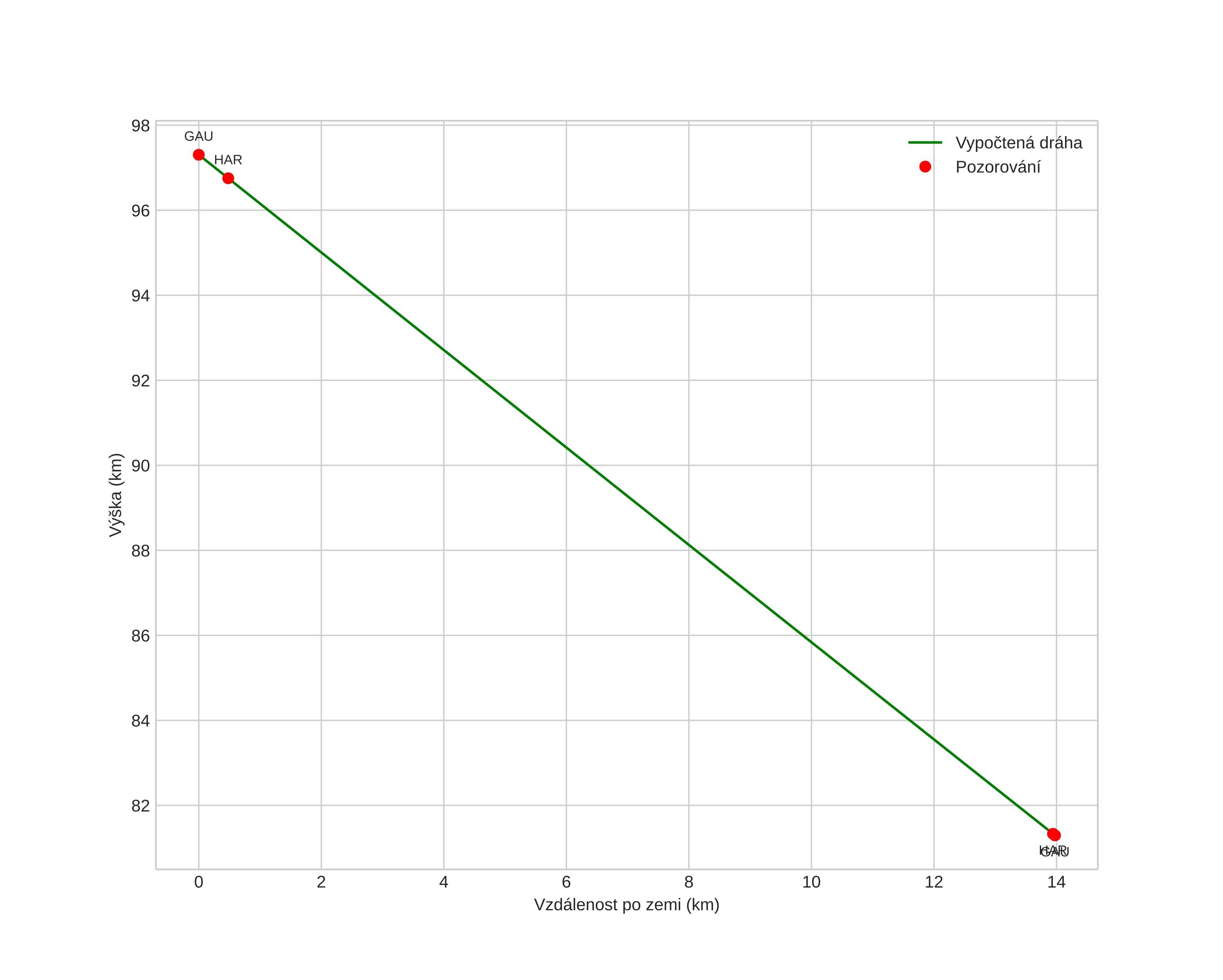
Atmosférická dráha meteoru:
Počáteční výška: 97,9 km
Konečná výška: 80,9 km
Počáteční poloha: 57,892N 7,755E
Konečná poloha: 57,760N 7,765E
Směr: 177,8°
Sklon: 49,3°
VstupnĂ­ rychlost: 45,5 km/s
Rektascenze radiantu: 12:35 (188,9°)
Deklinace radiantu: 80,8°
MeteorickĂ˝ roj: sporadickĂ˝
Elementy dráhy meteoroidu:
Vzdálenost v periheliu: 0,983 AU
Excentricita: 1,026
Sklon dráhy: 72,6°
Délka vzestupného uzlu: 215,6°
Argument perihelia: 191,5°
Střední anomálie: -0,0°
Epocha: 2024 OCT 28 20:51:26
orbit plot

NeinteraktivnĂ­ graf | InteraktivnĂ­ graf

position vs time
speed and acceleration