🇳🇴 🇬🇧 🇩🇪 🇨🇿 🇫🇮

Meteor, poloha: Kirkenær 2024-10-28 21:17:50 UTC

Soubor KML  |  InteraktivnĂ­ mapa

Mapa zobrazuje dráhy meteoru. Světlejší čáry ukazují směry od pozorovacích stanic při objevení se meteoru a tmavší čáry, kde byl naposledy viděn. Modrá šipka značí viditelnou dráhu meteoru.

static map
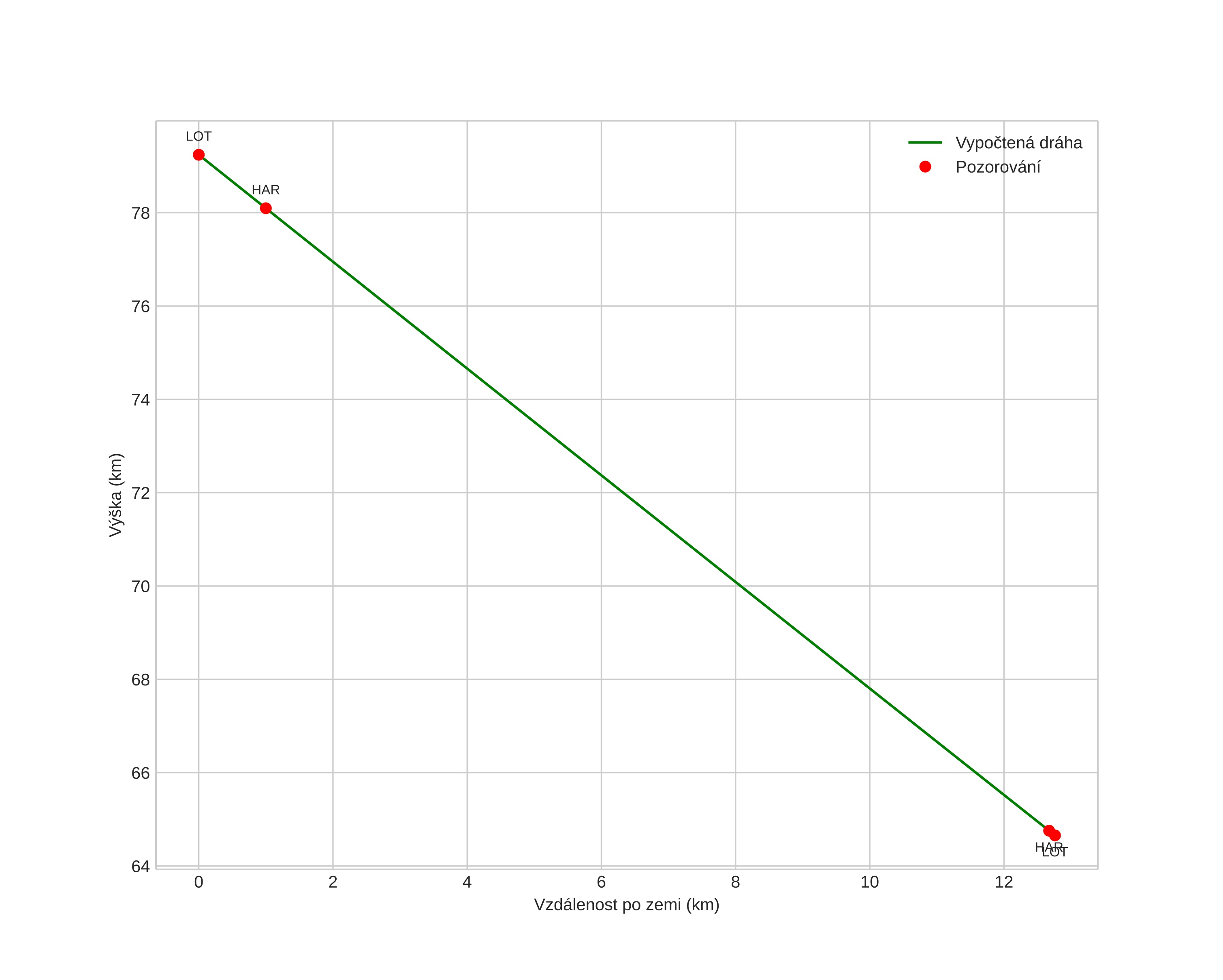
height profile
Atmosférická dráha meteoru:
Počáteční výška: 79,5 km
Konečná výška: 65,0 km
Počáteční poloha: 60,281N 12,080E
Konečná poloha: 60,396N 12,041E
Směr: 350,5°
Sklon: 48,3°
VstupnĂ­ rychlost: 20,5 km/s
Rektascenze radiantu: 01:00 (15,1°)
Deklinace radiantu: 14,9°
MeteorickĂ˝ roj: sporadickĂ˝
Elementy dráhy meteoroidu:
Vzdálenost v periheliu: 0,771 AU
Excentricita: 0,743
Sklon dráhy: 3,8°
Délka vzestupného uzlu: 215,6°
Argument perihelia: 241,8°
Střední anomálie: 352,7°
Epocha: 2024 OCT 28 21:17:50
orbit plot

NeinteraktivnĂ­ graf | InteraktivnĂ­ graf

position vs time
speed and acceleration