🇳🇴 🇬🇧 🇩🇪 🇨🇿 🇫🇮

Meteor, poloha: Krokstadøra 2024-10-29 04:27:22 UTC

Soubor KML  |  InteraktivnĂ­ mapa

Mapa zobrazuje dráhy meteoru. Světlejší čáry ukazují směry od pozorovacích stanic při objevení se meteoru a tmavší čáry, kde byl naposledy viděn. Modrá šipka značí viditelnou dráhu meteoru.

static map
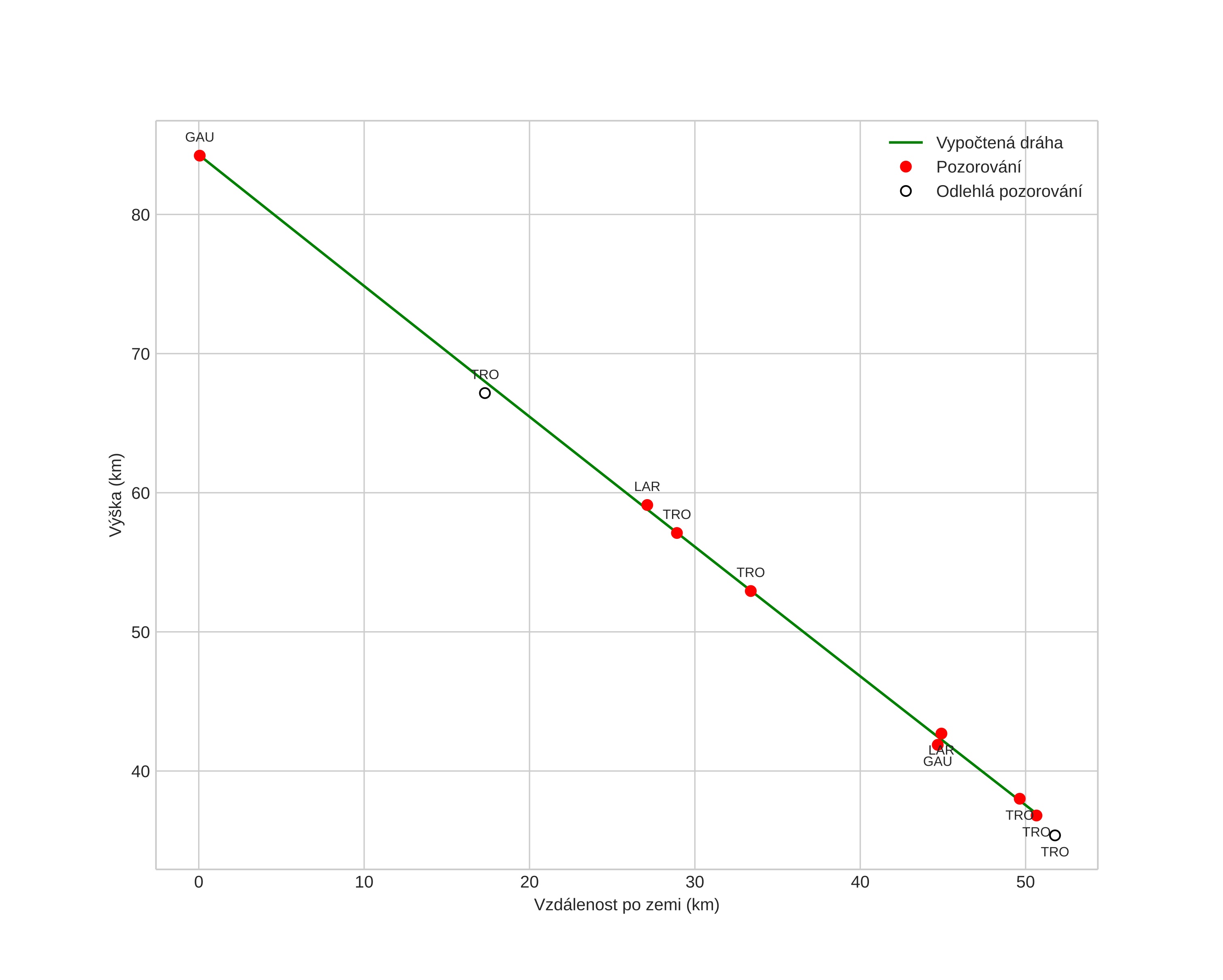
height profile
Atmosférická dráha meteoru:
Počáteční výška: 86,6 km
Konečná výška: 35,7 km
Počáteční poloha: 63,581N 8,214E
Konečná poloha: 63,546N 9,311E
Směr: 93,6°
Sklon: 43,1°
VstupnĂ­ rychlost: 32,0 km/s
Rektascenze radiantu: 02:44 (41,2°)
Deklinace radiantu: 37,5°
MeteorickĂ˝ roj: sporadickĂ˝
Elementy dráhy meteoroidu:
Vzdálenost v periheliu: 0,386 AU
Excentricita: 0,837
Sklon dráhy: 24,8°
Délka vzestupného uzlu: 215,9°
Argument perihelia: 290,1°
Střední anomálie: 348,4°
Epocha: 2024 OCT 29 04:27:22
orbit plot

NeinteraktivnĂ­ graf | InteraktivnĂ­ graf

position vs time
speed and acceleration