🇳🇴 🇬🇧 🇩🇪 🇨🇿 🇫🇮

Meteor, poloha: Hammarstrand 2024-10-29 19:19:58 UTC

Soubor KML  |  InteraktivnĂ­ mapa

Mapa zobrazuje dráhy meteoru. Světlejší čáry ukazují směry od pozorovacích stanic při objevení se meteoru a tmavší čáry, kde byl naposledy viděn. Modrá šipka značí viditelnou dráhu meteoru.

static map
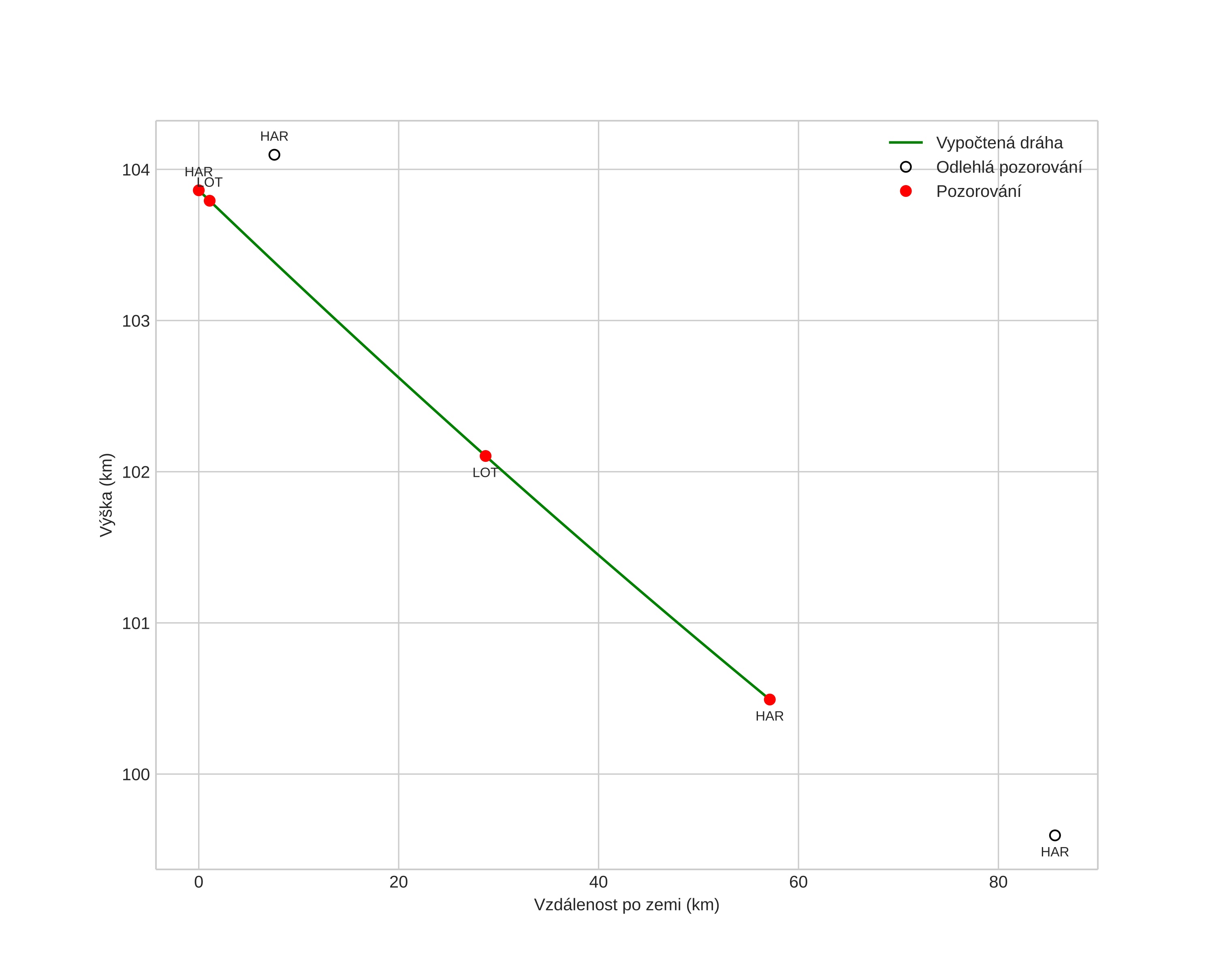
height profile
Atmosférická dráha meteoru:
Počáteční výška: 98,3 km
Konečná výška: 113,3 km
Počáteční poloha: 61,843N 13,402E
Konečná poloha: 62,911N 16,043E
Směr: 47,7°
Sklon: -4,7°
VstupnĂ­ rychlost: 111,0 km/s
Rektascenze radiantu: 19:12 (288,2°)
Deklinace radiantu: -23,2°
MeteorickĂ˝ roj: sporadickĂ˝
Elementy dráhy meteoroidu:
Vzdálenost v periheliu: 0,955 AU
Excentricita: 19,914
Sklon dráhy: 0,7°
Délka vzestupného uzlu: 36,7°
Argument perihelia: 343,6°
Střední anomálie: 300,1°
Epocha: 2024 OCT 29 19:19:58
orbit plot

NeinteraktivnĂ­ graf | InteraktivnĂ­ graf

position vs time
speed and acceleration