🇳🇴 🇬🇧 🇩🇪 🇨🇿 🇫🇮

Meteor, poloha: Rødberg 2024-10-30 00:26:29 UTC

Soubor KML  |  InteraktivnĂ­ mapa

Mapa zobrazuje dráhy meteoru. Světlejší čáry ukazují směry od pozorovacích stanic při objevení se meteoru a tmavší čáry, kde byl naposledy viděn. Modrá šipka značí viditelnou dráhu meteoru.

static map
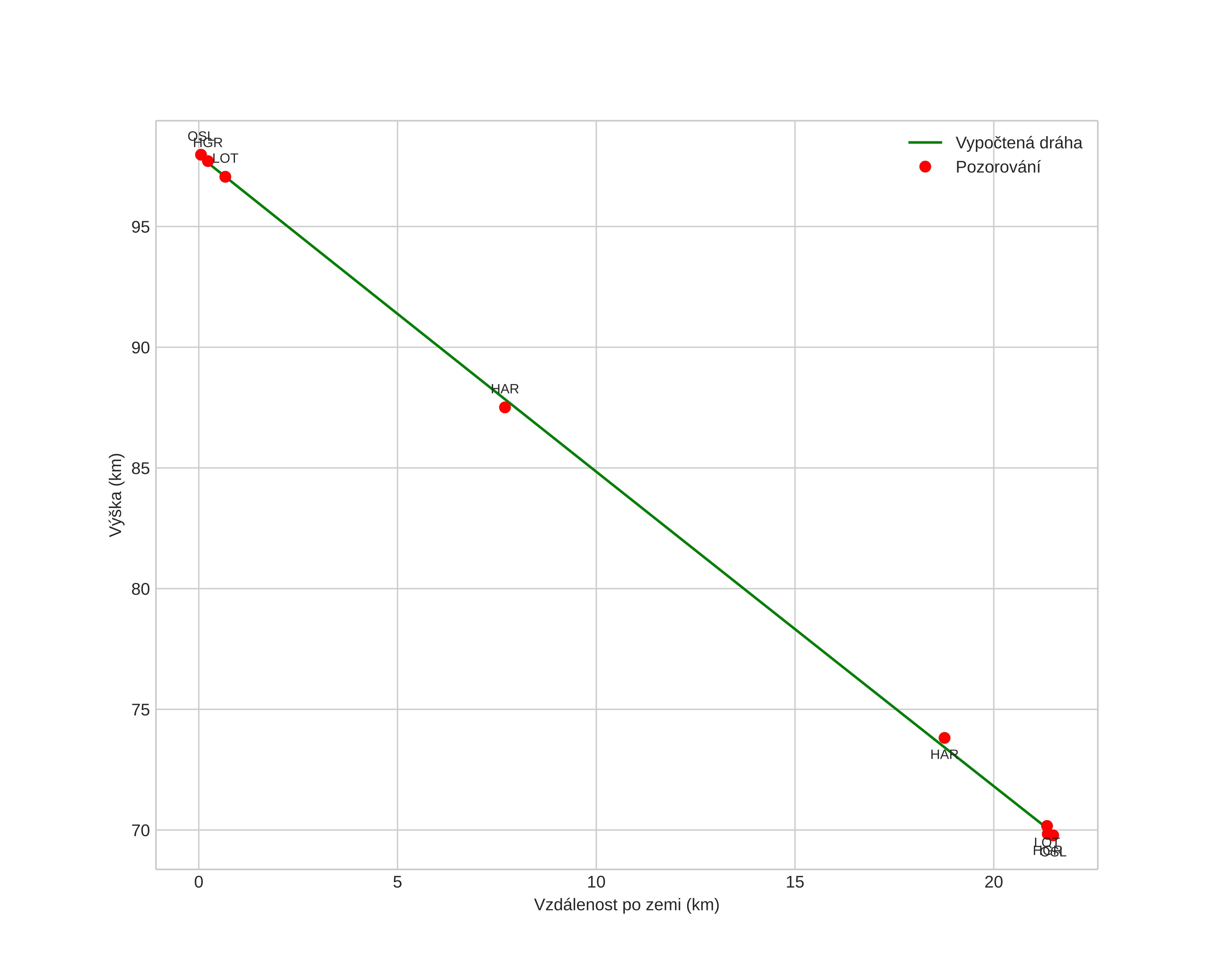
height profile
Atmosférická dráha meteoru:
Počáteční výška: 97,6 km
Konečná výška: 69,8 km
Počáteční poloha: 60,148N 8,931E
Konečná poloha: 60,339N 8,969E
Směr: 5,5°
Sklon: 52,4°
VstupnĂ­ rychlost: 32,0 km/s
Rektascenze radiantu: 03:19 (49,8°)
Deklinace radiantu: 21,2°
MeteorickĂ˝ roj: SevernĂ­ Tauridy
Elementy dráhy meteoroidu:
Vzdálenost v periheliu: 0,282 AU
Excentricita: 0,854
Sklon dráhy: 3,9°
Délka vzestupného uzlu: 216,7°
Argument perihelia: 303,7°
Střední anomálie: 344,9°
Epocha: 2024 OCT 30 00:26:29
orbit plot

NeinteraktivnĂ­ graf | InteraktivnĂ­ graf

position vs time
speed and acceleration