🇳🇴 🇬🇧 🇩🇪 🇨🇿 🇫🇮

Meteor, poloha: Trøim 2024-10-30 04:47:14 UTC

Soubor KML  |  InteraktivnĂ­ mapa

Mapa zobrazuje dráhy meteoru. Světlejší čáry ukazují směry od pozorovacích stanic při objevení se meteoru a tmavší čáry, kde byl naposledy viděn. Modrá šipka značí viditelnou dráhu meteoru.

static map
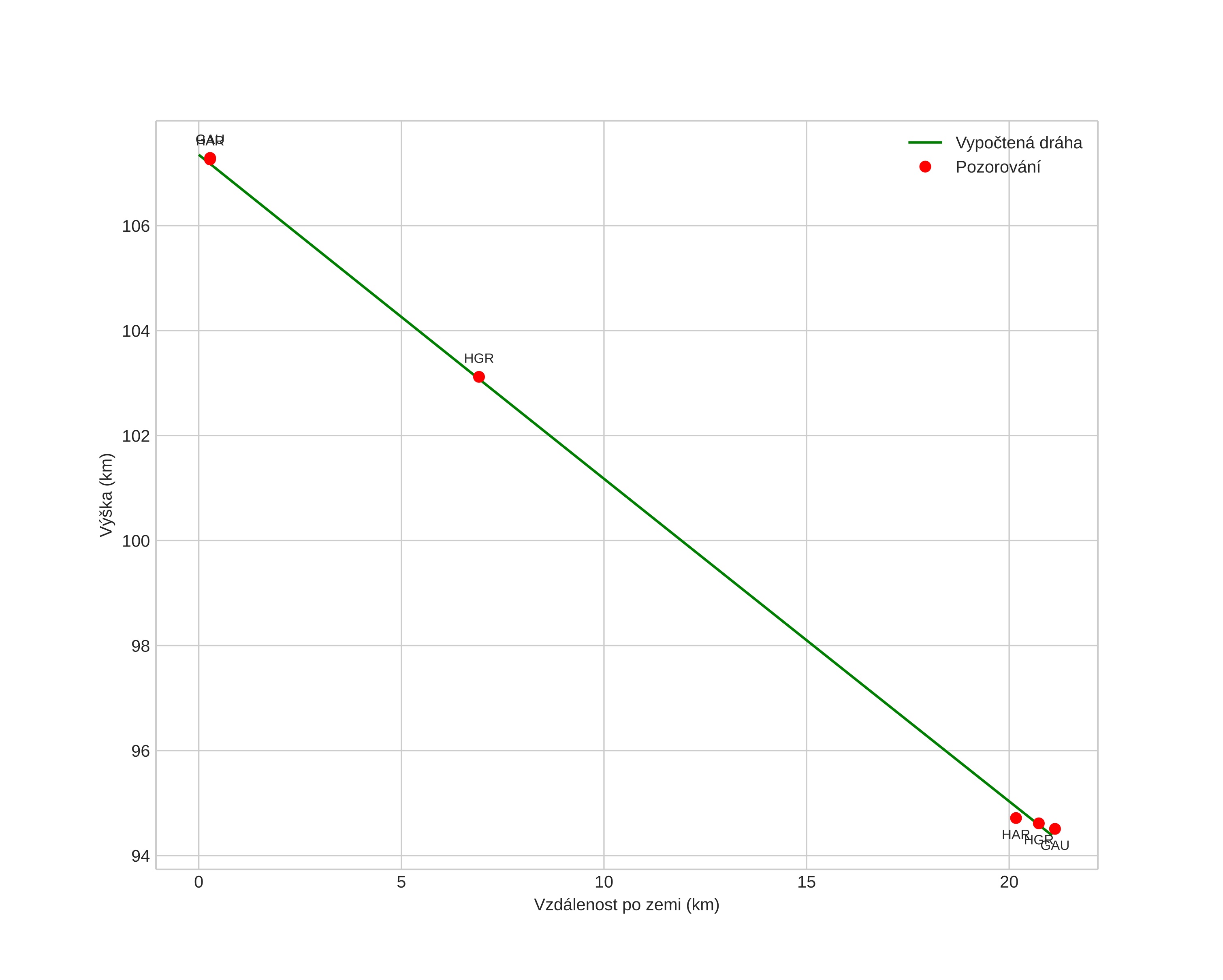
height profile
Atmosférická dráha meteoru:
Počáteční výška: 107,3 km
Konečná výška: 94,3 km
Počáteční poloha: 60,833N 9,144E
Konečná poloha: 60,860N 8,761E
Směr: 278,4°
Sklon: 31,8°
VstupnĂ­ rychlost: 53,5 km/s
Rektascenze radiantu: 12:25 (186,3°)
Deklinace radiantu: 23,2°
MeteorickĂ˝ roj: sporadickĂ˝
Elementy dráhy meteoroidu:
Vzdálenost v periheliu: 0,247 AU
Excentricita: 0,979
Sklon dráhy: 93,5°
Délka vzestupného uzlu: 216,9°
Argument perihelia: 58,8°
Střední anomálie: 0,9°
Epocha: 2024 OCT 30 04:47:14
orbit plot

NeinteraktivnĂ­ graf | InteraktivnĂ­ graf

position vs time
speed and acceleration

Harestua (HAR) cam6


gnomonic
Videa
• Gnomonická
• Gnomonická se souřadnicemi
• Původní
• Původní se souřadnicemi
Obrázky
• Gnomonická
• Gnomonická se souřadnicemi
• Gnomonická s popisky
• Původní
• Původní se souřadnicemi
Textové soubory
• Detekce
• Pozorování
• Souřadnice
• Protokol
Jasnost