🇳🇴 🇬🇧 🇩🇪 🇨🇿 🇫🇮

Meteor, poloha: Rjukan 2024-10-30 05:10:19 UTC

Soubor KML  |  InteraktivnĂ­ mapa

Mapa zobrazuje dráhy meteoru. Světlejší čáry ukazují směry od pozorovacích stanic při objevení se meteoru a tmavší čáry, kde byl naposledy viděn. Modrá šipka značí viditelnou dráhu meteoru.

static map
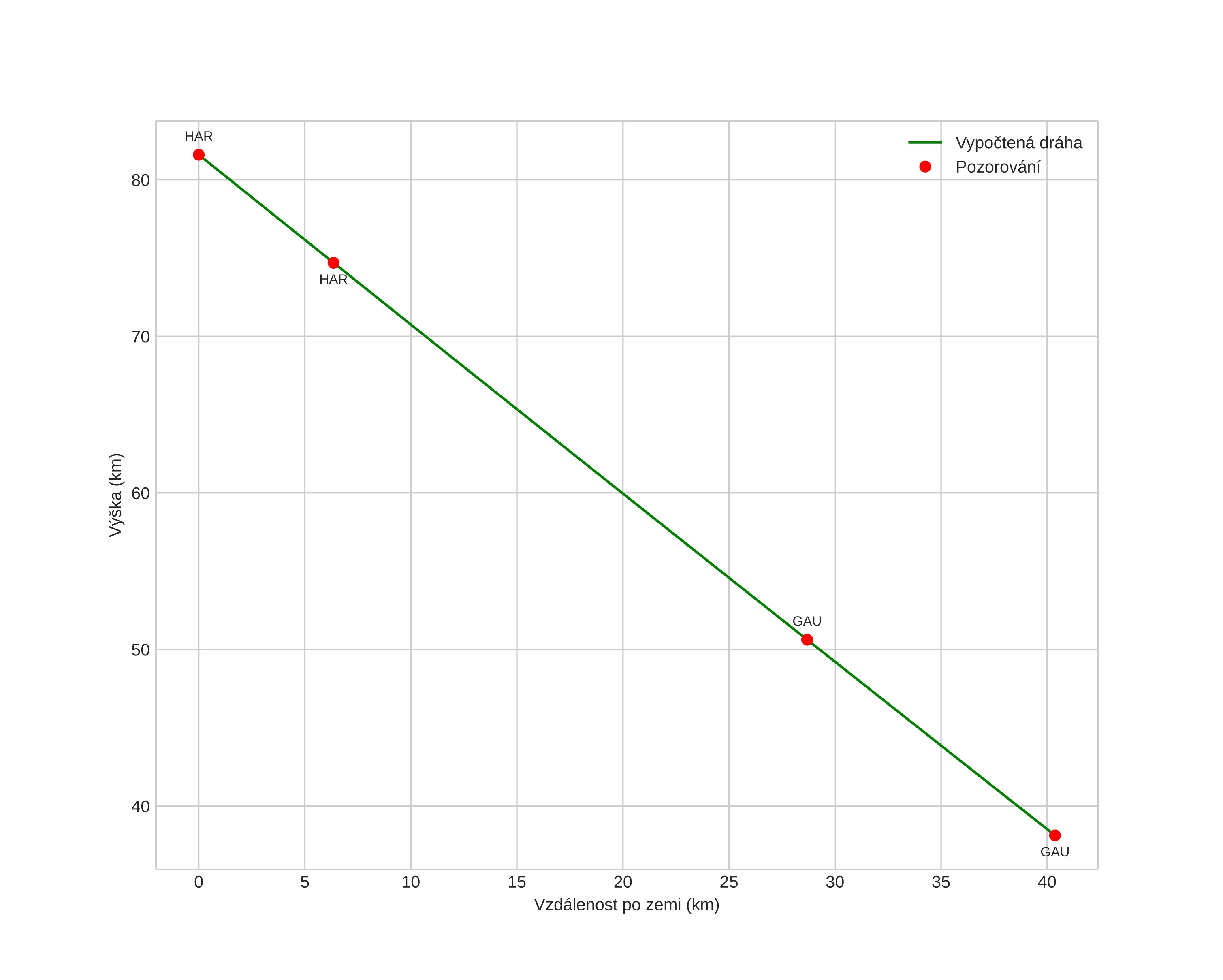
height profile
Atmosférická dráha meteoru:
Počáteční výška: 84,4 km
Konečná výška: 45,2 km
Počáteční poloha: 60,480N 8,344E
Konečná poloha: 60,160N 8,393E
Směr: 175,6°
Sklon: 47,7°
VstupnĂ­ rychlost: 58,6 km/s
Rektascenze radiantu: 21:15 (318,9°)
Deklinace radiantu: 76,5°
MeteorickĂ˝ roj: sporadickĂ˝
Elementy dráhy meteoroidu:
Vzdálenost v periheliu: 0,944 AU
Excentricita: 3,270
Sklon dráhy: 65,7°
Délka vzestupného uzlu: 216,9°
Argument perihelia: 200,6°
Střední anomálie: -35,3°
Epocha: 2024 OCT 30 05:10:19
orbit plot

NeinteraktivnĂ­ graf | InteraktivnĂ­ graf

position vs time
speed and acceleration