🇳🇴 🇬🇧 🇩🇪 🇨🇿 🇫🇮

Meteor, poloha: Storsteinnes 2024-10-30 23:14:51 UTC

Soubor KML  |  InteraktivnĂ­ mapa

Mapa zobrazuje dráhy meteoru. Světlejší čáry ukazují směry od pozorovacích stanic při objevení se meteoru a tmavší čáry, kde byl naposledy viděn. Modrá šipka značí viditelnou dráhu meteoru.

static map
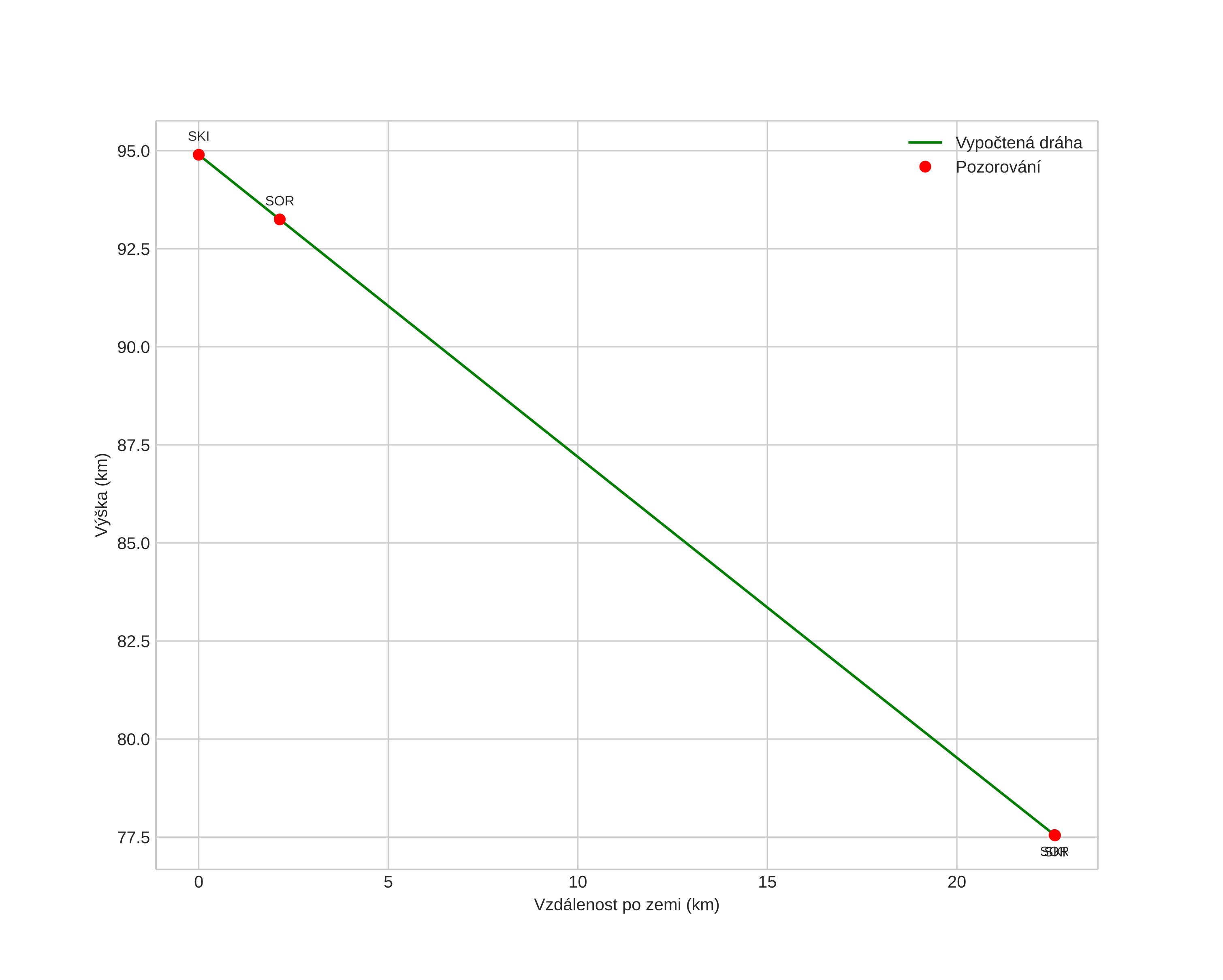
height profile
Atmosférická dráha meteoru:
Počáteční výška: 95,0 km
Konečná výška: 77,4 km
Počáteční poloha: 68,647N 19,492E
Konečná poloha: 68,850N 19,424E
Směr: 353,1°
Sklon: 37,8°
VstupnĂ­ rychlost: 33,7 km/s
Rektascenze radiantu: 03:31 (53,0°)
Deklinace radiantu: 14,8°
MeteorickĂ˝ roj: SevernĂ­ Tauridy
Elementy dráhy meteoroidu:
Vzdálenost v periheliu: 0,262 AU
Excentricita: 0,884
Sklon dráhy: 6,3°
Délka vzestupného uzlu: 37,7°
Argument perihelia: 124,7°
Střední anomálie: 348,5°
Epocha: 2024 OCT 30 23:14:51
orbit plot

NeinteraktivnĂ­ graf | InteraktivnĂ­ graf

position vs time
speed and acceleration