🇳🇴 🇬🇧 🇩🇪 🇨🇿 🇫🇮

Meteor, poloha: Arvika 2024-11-01 01:27:45 UTC

Soubor KML  |  InteraktivnĂ­ mapa

Mapa zobrazuje dráhy meteoru. Světlejší čáry ukazují směry od pozorovacích stanic při objevení se meteoru a tmavší čáry, kde byl naposledy viděn. Modrá šipka značí viditelnou dráhu meteoru.

static map
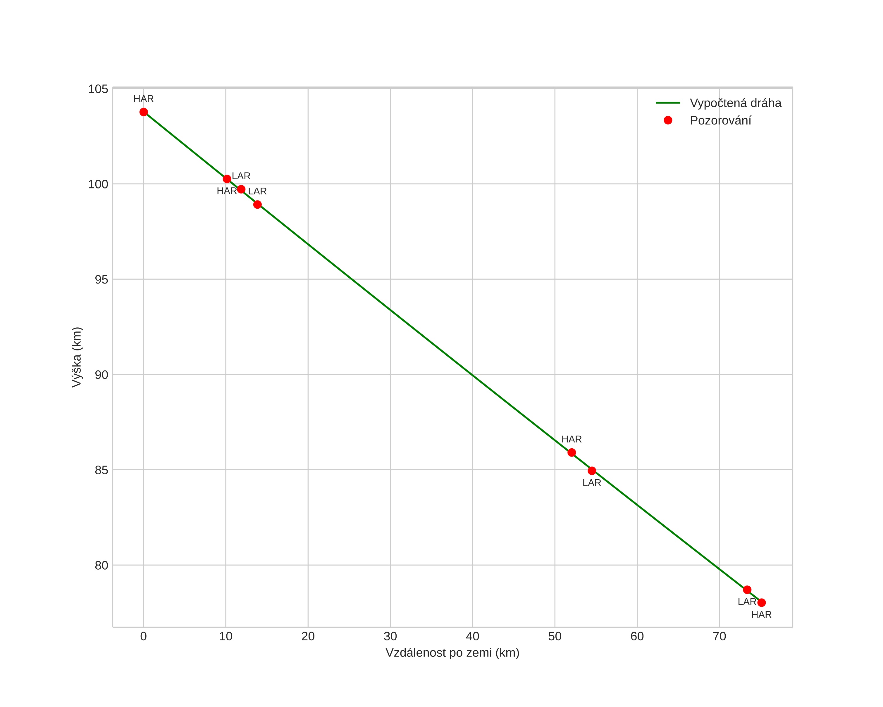
height profile
Atmosférická dráha meteoru:
Počáteční výška: 104,7 km
Konečná výška: 78,1 km
Počáteční poloha: 60,477N 12,317E
Konečná poloha: 59,788N 12,554E
Směr: 170,1°
Sklon: 18,9°
VstupnĂ­ rychlost: 21,3 km/s
Rektascenze radiantu: 17:54 (268,5°)
Deklinace radiantu: 41,3°
MeteorickĂ˝ roj: sporadickĂ˝
Elementy dráhy meteoroidu:
Vzdálenost v periheliu: 0,977 AU
Excentricita: 0,768
Sklon dráhy: 24,7°
Délka vzestupného uzlu: 218,8°
Argument perihelia: 164,4°
Střední anomálie: 1,3°
Epocha: 2024 NOV 01 01:27:45
orbit plot

NeinteraktivnĂ­ graf | InteraktivnĂ­ graf

position vs time
speed and acceleration