🇳🇴 🇬🇧 🇩🇪 🇨🇿 🇫🇮

Meteor, poloha: Elverum 2024-11-01 01:59:46 UTC

Soubor KML  |  InteraktivnĂ­ mapa

Mapa zobrazuje dráhy meteoru. Světlejší čáry ukazují směry od pozorovacích stanic při objevení se meteoru a tmavší čáry, kde byl naposledy viděn. Modrá šipka značí viditelnou dráhu meteoru.

static map
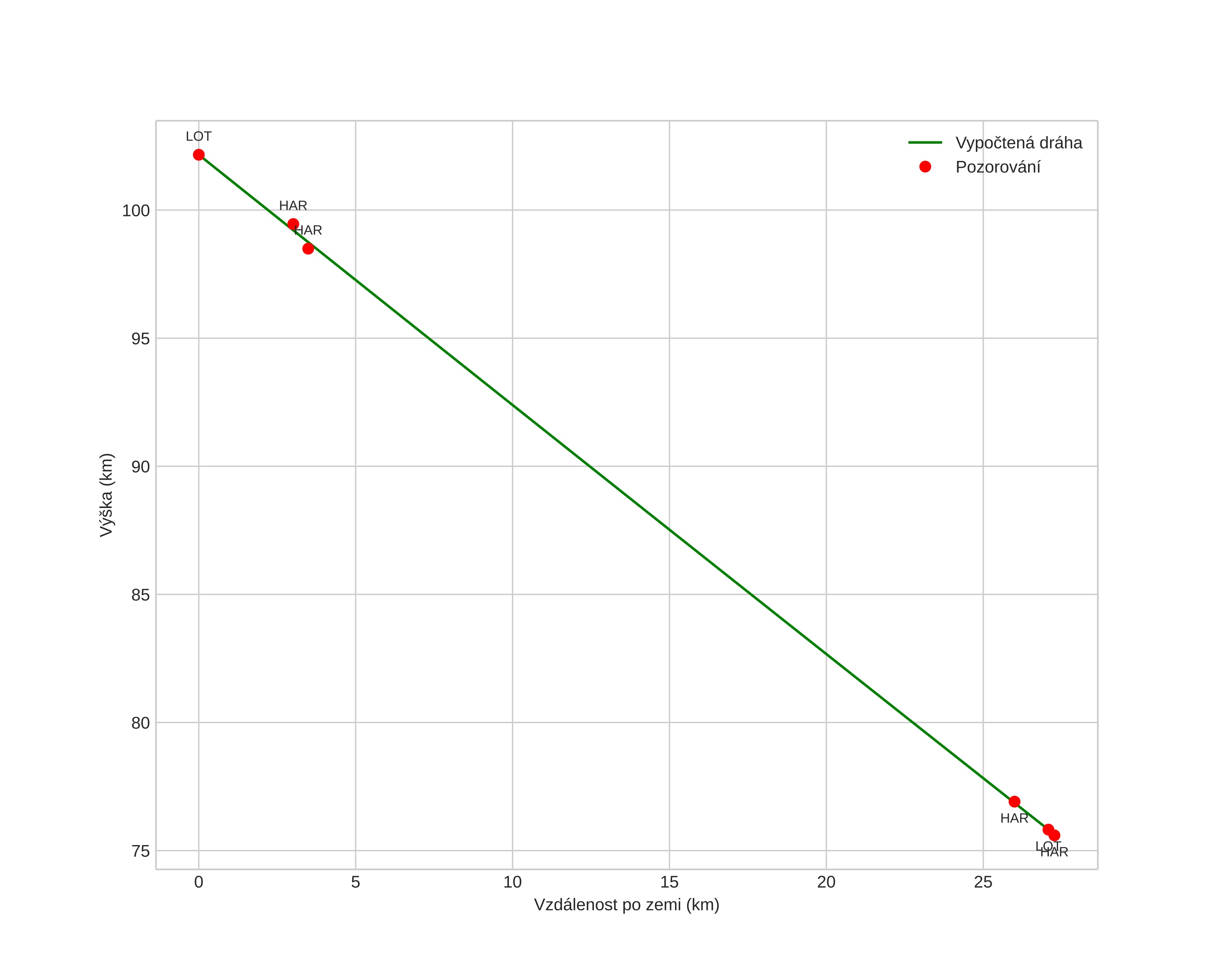
height profile
Atmosférická dráha meteoru:
Počáteční výška: 102,4 km
Konečná výška: 75,3 km
Počáteční poloha: 61,197N 11,461E
Konečná poloha: 60,946N 11,467E
Směr: 179,4°
Sklon: 44,2°
VstupnĂ­ rychlost: 27,9 km/s
Rektascenze radiantu: 17:40 (265,1°)
Deklinace radiantu: 70,9°
MeteorickĂ˝ roj: sporadickĂ˝
Elementy dráhy meteoroidu:
Vzdálenost v periheliu: 0,991 AU
Excentricita: 0,606
Sklon dráhy: 42,3°
Délka vzestupného uzlu: 218,8°
Argument perihelia: 184,5°
Střední anomálie: 359,1°
Epocha: 2024 NOV 01 01:59:46
orbit plot

NeinteraktivnĂ­ graf | InteraktivnĂ­ graf

position vs time
speed and acceleration